The Project Gutenberg EBook of Post Exchange Methods, by Paul D. Bunker
This eBook is for the use of anyone anywhere in the United States and most
other parts of the world at no cost and with almost no restrictions
whatsoever. You may copy it, give it away or re-use it under the terms of
the Project Gutenberg License included with this eBook or online at
www.gutenberg.org. If you are not located in the United States, you'll have
to check the laws of the country where you are located before using this ebook.
Title: Post Exchange Methods
A manual for Exchange Stewards, Exchange Officers, Members
of Exchange Councils Commanding Officers, being an
exposition of a simple and efficient system of accounting
which is applicable to large and to small Exchanges alike.
Author: Paul D. Bunker
Release Date: March 5, 2019 [EBook #59016]
Language: English
Character set encoding: UTF-8
*** START OF THIS PROJECT GUTENBERG EBOOK POST EXCHANGE METHODS ***
Produced by Donald Cummings, Adrian Mastronardi, The
Philatelic Digital Library Project at http://www.tpdlp.net
and the Online Distributed Proofreading Team at
http://www.pgdp.net (This file was produced from images
generously made available by The Internet Archive/American
Libraries.)
by
CAPTAIN PAUL D. BUNKER
UNITED STATES ARMY
A manual for Exchange Stewards, Exchange Officers, Members of Exchange Councils Commanding Officers, being an exposition of a simple and efficient system of accounting which is applicable to large and to small Exchanges alike.
General Agents
The Eagle Press Service Printers
Portland, Me.
Copyright 1915
The Eagle Press—Portland, Me.
All rights Reserved
Our Post Exchanges are usually in charge of officers with little or no experience in book-keeping, their assistants are usually enlisted men and not professional clerks and accountants, and there is, at present, no codified or standard system prescribed for handling this business. Some parts of the Post Exchange Regulations have become antiquated through the developments of modern business methods such as the “Voucher Check System”.
In view of these facts it is felt that there is a real need of this book, and it is hoped that the methods herein set forth will prove to be a step toward a uniform system that will be adopted in all Exchanges, one that will reduce overhead charges, eliminate unnecessary labor and improve unsatisfactory profits.
The writer intended discussing several other important points, such as Journal Entries, Mail Order Business, Consignment, Adding Machines, Loose-leaf and Card Index Filing, etc., but circumstances over which he had no control prevent, at present, any addition to these pages.
It is desired to give credit to Captain Henry M. Dichmann 24th Infantry, who by his work in connection with the Post Exchange at Fort Slocum, N. Y., was the inspiration for this work, and to Mr. James Parker, Cashier of the same Exchange, for valuable assistance rendered.
PAUL D. BUNKER,
Captain, Coast Artillery Corps.
Fort Hancock, N. J., June 7, 1915.
“RANGER” BICYCLES
Follow the Flag.
Your choice of 94 Styles, Colors and sizes.
More “RANGERS” sold each year than any other make.
TIRES, SUNDRIES AND REPAIR PARTS For all makes of bicycles.
LARGEST STOCK IN THE WORLD
Catalogs and Special Prices For Post Exchanges free for the asking.
MEAD CYCLE CO., CHICAGO, U.S.A.
Address Military Department
TAYLOR
ATHLETIC SUPPLIES
are correct in detail. They are way ahead of the ordinary.
ATHLETIC OFFICERS
can rest assured of quality, prompt service and unfailing personal consideration from
Alex. Taylor
ALEX. TAYLOR & CO.
ATHLETIC OUTFITTERS
26 E. 42d. ST., NEW YORK
Send for Catalog and quotations
H. KOHNSTAMM & CO.
(Established 1851)
MFRS. AND DEALERS IN
STANDARD LAUNDERS’
MATERIALS
CHICAGO: 83-91 PARK PLACE
26-28 N. FRANKLIN ST. NEW YORK
Warehouse stocks for prompt deliveries at 25 centrally located cities.
Send for latest catalog.
FACTORIES: Brooklyn, N. Y. and Camden, N. J.
PRINTING
EXCHANGE AND ORGANIZATION SPECIALTIES
ANYTHING FROM A CARD TO A BOOK.
THE EAGLE PRESS
PORTLAND, MAINE
E. W. Kilbourne, Proprietor
(Formerly Sergt. U. S. A.)
COUPON BOOKS
TO BE EFFECTIVE, MUST BE
Absolutely Accurate
The
SOUTHERN COUPON CO.
Are exclusive manufacturers of every kind of COUPON BOOKS, and owing to their perfect checking system, are in position to guarantee absolute accuracy, perfect workmanship and highest quality.
Each Coupon is Numbered
To correspond with number on cover, hence even detached coupons can readily be identified to their respective book—a great advantage.
WRITE TO-DAY FOR SAMPLES AND PRICES TO
THE SOUTHERN COUPON COMPANY
Box 346 BIRMINGHAM, ALA.
LOWEST POSSIBLE PRICES TO POST EXCHANGES AND SHIP STORES
The Army and Navy Co-Operative Company is splendidly equipped to serve Post Exchanges and Ship stores WELL.
By WELL, we mean:
Offering reliable, fresh, new merchandise at the lowest possible wholesale prices.
Offering large assortments of merchandise to select from.
Offering efficient service and quick deliveries.
Buying from the Army and Navy Co-Operative Company means more sales and larger profits.
Write for our Prices on Such Articles as you may need.
ARMY AND NAVY CO-OPERATIVE COMPANY
NEW YORK STORE AND GENERAL OFFICES
16 East 42nd Street, near 5th Ave., New York
Store
1123-5 So. Broad Street
Philadelphia, Pa.
Store
721-7 17th Street N. W.
Washington, D. C.
| PAGE | |
| Post Exchange Methods | 1 |
| Desiderata. | |
| Charge Sales | 2 |
| General—Method of Making—Daily Check Summary—Recording—Consolidating Credit Transactions—Settling Dead and Live Records. | |
| Cash Sales | 29 |
| General—Cash Book. | |
| Coupon Sales | 33 |
| General—Kinds of Coupons—Frauds—Regulations—Issuing—Pay Table Procedure—Coupon Sales. | |
| Stock Records | 50 |
| General—Inventories—Merchandise Purchased—Transfers Between Departments—Consolidating Transactions—Checking Stock and Sales. | |
| Purchase Records | 60 |
| General—Purchase Orders—Purchase Record—Payments—Voucher Check System—Cash Disbursements. | |
| The Ledger | 72 |
| General—Make-up—Ledger Accounts—Posting the Ledger—Balancing. | |
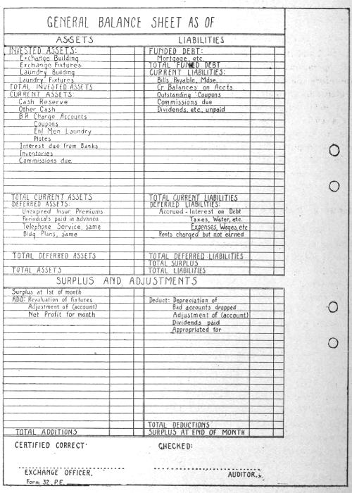
| Monthly Statements | 81 |
| General—General Balance Sheet—Surplus and Adjustments—Statement of Income and Profit and Loss. | |
| Pay Rolls | 87 |
| Figuring Selling Prices | 89 |
| Laundries | 92 |
| General—Bills Receivable—Piece Work—Damage Report—Claims—Inventories—Pay Rolls—Miscellaneous Books. | |
| Auditing | 99 |
| General Duties Auditor’s Statement. | |
| Cash Registers | 103 |
| Conclusion | 106 |
ECONOMICAL
Use roll printed stationery and carbon, eliminating assembling of loose printed blanks and carbons—all automatic—no wasted effort.
EFFICIENT
Whatever is written upon the original appears fac-simile on the duplicate and triplicate alike. A loading consists of about 500 sheets.
SHOUPERIOR MANIFOLDER
RECORDER
In use in U. S. Army Posts, Naval Stations and ships for ten years.
POSITIVE ALIGNMENT AND REGISTRATION
The SHOUPALIGNER our newest device has special features of automatic alignment and registration of the form with automatic measured throw and stop. Absolutely essential where duplicates and triplicates are printed, requiring exact registration and alignment with the original. Our Service Department serves you with the most economical and efficient systems for the results desired.
AUTOGRAPHIC REGISTER CO., HOBOKEN, N. J.
ALL BLANK FORMS
SHOWN IN
POST EXCHANGE METHODS
CAN BE OBTAINED
AT LOWEST PRICES, AND IN
ANY QUANTITY
FROM
THE EAGLE PRESS, PORTLAND, ME.
PIONEER PRINTERS TO THE ARMY
ENGRAVING
STEEL DIE EMBOSSING
PLATE PRINTING
POST AND ORGANIZATION STATIONERY
THE EAGLE PRESS
Portland, Me.
The general methods of conducting a Post Exchange are laid down in official orders and considering the categorical nature of these orders it would seem that the systems in all Exchanges should be almost identical. Such, however, is far from the truth, as there are almost as many systems as there are Exchanges, and a person in charge of one Exchange might have to learn considerable new matter before he would be able to administer the affairs of another Exchange. This variety of systems also causes trouble to auditing officers, exchange councils and to inspectors when they have occasion to go over the books. Some of the systems are unsound in minor particulars, and most of them are poorly designed. All trouble of this nature could be avoided by devising a standard system and installing it in all Exchanges. The advantages of such a proceeding would be manifold and there would be no important disadvantages. In this essay an attempt has been made to evolve such a system, one applicable to any Exchange, representing the best points of many Exchanges and including at all possible points the labor saving results of modern methods. The system here described is not the embodiment of theory alone, but has been through the test of actual trial and has given thorough satisfaction.
In devising any such scheme we must presuppose certain desiderata:—
1. The Exchange Officer can spend but a small portion of his time in the Exchange, and yet he must have accurate knowledge of what the business is doing. It is therefore essential that our records shall show accurately and concisely all the data that are necessary to a full understanding of the condition and operations of the business.
2. It is not enough to have a system which will enable us to render a clear statement at the end of the month, we should be able to close our books at any time and get out our financial statement in the minimum time.
3. Our system should be such as to minimize the possibilities of peculation. It is often said that there is no system which cannot be beaten, but there are systems which cannot be defeated for any great length of time. Therefore, our system must reduce to a minimum the time during which graft or theft can work undisturbed.
4. The system must be so simple that it will not require exceptional ability at any point in order that its provisions may properly be carried[2] out. This makes it easy to break in new clerks, and enables them to perform their duties in a more satisfactory manner.
5. The system must not be so cumbersome that it will delay the making of sales. This is highly important. Every reader of this will undoubtedly have vivid recollections of his experiences in department stores, “waiting for change.” It is better to lose a dollar than to disgust our customers and drive them elsewhere.
The above requirements cannot but cause our system to be somewhat more expensive than that used in a “one-man store”. In the latter instance, as a proprietor will not cheat himself, the third requirement has, in general, no effect. The other requirements, however, will still hold, and even gain in importance. How many merchants have we seen who thought they knew all about their business, but who in reality knew very little. They did not even realize that slipshod methods curtail credit and beget losses of various sorts.
In describing this system we shall take up the various features in the order in which they will be found easiest to install. For instance, charge sales are discussed first because, regardless of the system of handling these sales that may be in use by any Exchange, it will be found that to change to the system here described, before changing any other part of the system, will cause no confusion in the other books. In other words, if your system be changed according to the order in which the different parts are discussed herein, you will find that you have gradually installed a system which may be entirely different, yet you have caused no confusion in your books by the transition.
This item includes the sale of merchandise to (1) officers, (2) civilians, (3) enlisted men authorized to buy on credit. Such sales are practically cash, being paid, usually, within a very short time.
The practice of extending credit to civilians is not encouraged by the authorities and the Exchange Officer should secure permission beforehand in case it is desired to transact this kind of business. In some cases of isolated posts it is to the best interest of the government that civilians employed or living on the post be allowed credit at the Exchange, as it might otherwise be impossible for the Government to retain their services or for the civilians to subsist themselves. It is to take care of such cases that this feature is mentioned. In opening a charge account with a civilian, care must be exercised to prevent a probability of loss to the Exchange, as one bad account might wipe out the profits from all such accounts for a considerable time. If a civilian is deserving of the privilege[3] of purchasing at the Exchange he should have no objection to conferring with the Post Exchange Officer and making satisfactory arrangements with his employer.
With enlisted men, the case is more difficult. In general, the soldier makes his credit purchases by means of coupons. But if the Exchange handles some such proposition as an ice delivery route, it is impossible to do business with the patrons thereof by means of coupons of the ordinary kind. The right method is to apply to the proper authorities for permission to extend to married soldiers credit to such amounts as may be recommended by their organization commanders. If this is not done, and credit other than in the shape of coupons is allowed enlisted men or if coupons or credit in excess of one-third of the man’s pay be allowed him, the inspector will object to it, as either of these two proceedings is held to be unauthorized. However, when there are no other stores in the vicinity, it seems but reasonable to think that the Post Exchange, instituted purely for the benefit of the enlisted man, should be allowed to extend credit to such married soldiers of good reputation as may be dependent upon it (and the Commissary) for the necessities of life. As the married soldier is usually a non-commissioned officer of long and honorable service (sometimes a first sergeant or non-commissioned staff officer) with one or more children; as the bulk of his pay is usually spent for articles ordinarily carried in stock by the Exchange; as the Exchange is the result of beneficent legislation and the regulations concerning same should therefore be interpreted in a liberal manner, it follows that there is a great deal of justice behind a proper application for permission to make charge sales to such selected men.
In case such permission is obtained, request should be made on the various organization commanders to write a letter of the following purport:—
Fort Jay, N. Y., Mar. 1, 1914.
From C. O., Co. H, 57th Inf.
To Post Exchange Officer.
Subject, Credit to Enlisted Men.
1. Request that the following named members of this organization be given credit at the Post Exchange not to exceed the amount set opposite their respective names:
| 1st Sergt. James E. Sullivan | $ 20.00 |
| Sergt. Ralph R. Strouse | 16.00 |
...
(Sgd.) T. R. Jones,
Capt. 57th Inf.
At the time each charge sale is made, the clerk notes the transaction on a “Charge Sales Slip,” provided for the purpose, noting the date, name of customer, name and number of articles sold, the total price of each item, the total amount covered by the slip and the initials of the salesmen. See Fig. 1.
Figure 1, (Reduced in size)
It has become almost a rule that the purchaser shall receive a copy of this record of sale. Sometimes, he does not receive it until after he has paid his bill at the end of the month, a procedure followed in many clubs and similar organizations. It is probably better in Post Exchange work to furnish the purchaser with a copy of the charge sales slip at the time the purchase is made, as most of our customers wish to keep track of their accounts and also, as will be shown later, this method may be made to promote honesty in salesmen who might be tempted to be otherwise. As it is, of course, essential that we retain at least one copy of this sales slip, it follows that the use of some sort of manifolding device is necessary. There are many such devices on the market, among which may be mentioned as representative, the manifolding sales book and the autographic register. The former is shown in Fig. 2 and the latter in Fig. 3, from which their methods of operation are apparent.
Figure 2.
It is patent that some such scheme should be adopted for use in every Exchange, no matter how small that Exchange may be. The advantages of any of these systems (even a simple duplicating pad) over the painful and inefficient method of recording all such sales in an old fashioned sales record book must be evident to every one. The particular system adopted is of minor importance so long as it is thoroughly adapted to the circumstances of the case involved. The following table is arranged for the purpose of permitting a comparison of two systems; one involving the use of manifolding sales books and the other using an autographic register.
Figure 3.
| SALES BOOKS vs | CASH REGISTER |
|---|---|
| 1. Can be carried by the salesman, thus saving steps for him. | 1. If a cash register is used the salesman must go to it to record every sale, and therefore if the Manifolder is located at the cash register no unnecessary steps are taken. |
| 2. Cost of 100 duplicating books of simple design with total capacity of 5000 sales is $6.50. Triplicating books more expensive. No first cost for machinery. | 2. Rolls of paper are used; cost of rolls for duplicate records of 5000 sales is from $4.50 up, depending upon the amount of special printing on the rolls. Each machine like Fig. 3 costs, retail, about $15.00. |
| 3. Practically no counter space is necessary for using a sales book. | 3. A convenient place must be left on the counter for use in recording sales. |
| 4. Uniformity in size of slips results in facility in handling and filing. | 4. By exercise of reasonable care the size of the slips approaches uniformity closely enough. |
| 5. The various copies of a slip made from a sales book are more apt to be “in register”—that is, the various lines and spaces of a lower sheet are more apt to be exactly under the corresponding ones of the upper or original sheet. | 5. Sometimes trouble and the expenditure of a sales slip results from the various rolls getting “out of step”. This accident, however, is easy to remedy. |
| 6. The slips can be tampered with, by dishonest salesmen, unless a “slip-printing” cash register, or some special device is used. | 6. By using a machine in which the triplicate roll is wound up inside the machine as it is used, no tampering with the sales records is practicable. |
| (If triplicate records are desired) | |
| 7. We may use either two sheets of carbon paper[1] or only one double-faced carbon sheet below a tissue duplicate and over an opaque triplicate. | 7. We ordinarily use at least two sheets of carbon paper, and all copies are opaque. The machine is adjustable, and will either duplicate or triplicate according to the number of rolls used. It can also be used with a transparent roll. |
| 8. If two carbon sheets are used, both must ordinarily be shifted for recording each successive sale. | 8. The carbon sheets once fixed in the machine require no further attention except when they are worn out or the rolls renewed.[7] |
| 8a. By using a transparent duplicate and a double faced sheet of carbon paper, the latter is the only sheet that requires handling. | 8a. But the slips do not protect us so well because the sales are not recorded on the back of each slip (by reversed impressions) as well as on the front. |
| 8b. In this case, by leaving the transparent slips in the book we can easily check the consecutive numbers of the slips and see that all are accounted for. | 8b. By not tearing off the lowermost sales slip, but leaving it attached to the roll until the end of the day, we obtain a single strip of sales slips recording all the charge sales of the day. They need not be checked for consecutive numbering unless there is a break in the strip. |
| 8c. By previously clipping off the corner of these tissue sheets the book becomes self-indexing and in opening the book we turn automatically to the place for recording the next sale. | 8c. In tearing off the record of each sale we automatically prepare the machine to record the next sale. |
[1] Carbon paper is either single or double faced. By using the latter between two sales slips it is evident that we record our sale on the first and second slips and also secure a reversed copy on the back of the original. It is said that salesmen who alter such slips for their own gain are prone to forget or overlook this point and are caught thereby. No alteration on a sales slip should be tolerated; if the clerk makes a mistake he should be required to cancel and preserve all copies of the erroneous slip and to make out a new one correctly.
It is seen that the advantages and disadvantages of these two systems nearly counterbalance and that the particular system adopted must depend greatly upon the opinions of those in charge of the Exchange. In the following description, the use of triplicating records will be assumed.
In order to facilitate the assorting of the slips handed in by the various “Departments” of the Exchange, it is a good idea to assign distinctive colors to the original charge sales slips of each. (Of course, if there is a very large number of departments, this idea would have to be applied with discretion, as it is hard to recognize certain colors at night by artificial light.) For example, let the original sales slips used in the store be white; those in the market, buff; those in the shoe shop, pink, etc. The duplicate slips should have their own distinctive color and this color should be the same for all departments. If a triplicate slip is used, it should be of still another color and the same for all departments. Following out this scheme, the utility of which will appear presently, a color scheme might be as follows:—
| Department | Colors Assigned to Charge Sales Slips | ||
|---|---|---|---|
| Original | Duplicate | Triplicate | |
| Store | White | “Newspaper” | Yellow |
| Market | Buff | ” | ” |
| Lunch | Salmon | ” | ” |
| Tailor | Green | ” | ” |
| Barber | Blue | ” | ” |
| Shoe shop | Pink | ” | ” |
If a system of distinctive colors similar to the above is not adopted, one of two things will be necessary in order that we may identify the slips[8] of each department, unless we wish to do so by wasting the time in deciphering the articles on each slip and decide therefrom the name of the responsible department; we must either have the names of the departments printed on their respective slips when they are made, or these names must be marked on the slips when the sales are made. Neither of these methods is as efficient as that involving the use of various colors, which tells automatically to what department that slip belongs. By using distinctive colors, the printer would set up only one form for printing our whole assortment, and our printing bill would be correspondingly reduced.
In this connection, it might be stated for the benefit of the uninitiated that ordinarily the principal items in our bills for printing, especially in the case of blank forms, will be found to consist of the cost of “composition”, “make-up”, “lock-up”, and “make-ready”. These operations are necessary if but one form is printed; they need cost us no more if 50,000 copies are printed. Paper is comparatively cheap, so it usually costs us little more to print 5,000 copies than to print 1,000. So we can see that in the case of blank forms the cost per unit varies inversely as the quantity ordered at one time. Hence, if we need such forms as sales slips, of which we may use hundreds per day, we should order, say, a year’s supply at a time. Other forms or sheets that are used once a week or once a month must be ordered in lots sufficient to last for a longer time. As we take these up on our Stock Record, such purchases in large quantities will not disturb the worth of the Exchange.
An appreciable amount in the cost of our printing can be saved by a skillful arrangement of the matter on the form. An experienced man can sometimes draft a form so that the charges for printing it will be half what it would cost to print the same form arranged by a thoughtless or inexperienced person. Tabular work costs money, and so also does “special rulings”. Experience or consultation with a practical printer is the only real guide in this matter.
If any form is used in large numbers, it will pay to have electrotypes made, and “repeat orders” printed therefrom. Forms that are seldom used should not be electrotyped, as they will probably require some alteration by the time a new supply is needed. An electrotype costs about $0.25 for the first square inch and about $0.04 for each additional square inch. Here is another opportunity for the exercise of judgment. Suppose we have a large form with printed heading and footing, but nothing in the middle of the sheet; it would be wasteful to electrotype the whole form, only the heading and the footing should be so treated. Now, let us consider the money wasted by having the name of our post printed on each bit of stationery! It is easy to see that this is in some cases a positive disadvantage.[9] Suppose, for example, that Form 8, Fig. 1, fills the requirements of Exchange methods. If a dozen Exchanges order a supply of these forms and (as they usually do) thoughtlessly require that the names of their respective posts be printed on same, they each pay a great deal more than they would if they allowed the printer to make an electrotype of this form and run off all the jobs from the same plate. It is hard, if not impossible, to find any real reason why this extra matter should be placed on many of our forms. Coöperation in matters of this kind would go far toward cutting down some of our “overhead charges” in Post Exchange work, and to secure such coöperation is one of the objects of this paper.
Still another way to minimize our printing bill is to adopt standard sizes for our forms and to use, wherever possible, the same kind and color of paper. Paper comes in sheets of certain sizes and if the printer has to waste a part of each sheet in printing our forms, we shall have to pay for it. Uniformity in size also leads to facility of filing. Incidentally, money may be saved, in some cases by having two or more forms printed together. For example, suppose we have three forms, A, B and C, to be printed on the same stock, and we wish 5,000 A; 10,000 B; and 15,000 C. If ordered separately, these would entail 30,000 impressions. Suppose, however, that they are ordered at the same time, and that the forms are of such sizes (not necessarily equal) that they may be printed together on one sheet and cut apart afterwards. In such a case, a saving might be made as follows:—Set up each form once, make, one electrotype of Form B and two of Form C; place these with the originals and there will result, in one “form” three Forms C, two Forms B, and one Form A, and a “run” of 5,000 impressions will print the lot ordered. There is a saving of the cost of running 5,000 Form B and 10,000 Form C less the cost of electrotypes (if they are not on hand) and of the extra work of locking up and making ready same. Of course, such a procedure assumes that a considerable supply of forms, say, not less than a total of 5,000, is ordered at one time. For a fewer number, there would be no saving unless electrotypes were already on hand.
To return, now, to our sales slips. It will be noted that our triplicate copies are the same for all departments. They are kept in rolls, if manifolding machines are used, or if triplicating sales books are used, the tissue paper sheets that are left in the books form our retained record. In the cases of both the triplicate and the duplicate copies, a cheap grade of paper is allowable on account of the little handling these copies have to withstand. Also, there is no reason for their being susceptible of rapid assorting according to departments. The duplicates are also identical for all departments, they go to the customer at the time of sale. In case there is a discussion about any particular slip, the items thereon will show conclusively[10] to what department it belongs, as will also the initials of the salesman. On the other hand, it is a positive advantage to have all duplicates of a distinctive color, different from that of the originals. Suppose a customer buys a pair of shoes from the store and later returns them. We should then give him a slip crediting him with the shoes at the selling price. To do this, all that is necessary is to fill out a regular charge sales slip in the usual manner except that the word CREDIT is plainly marked on the slip. The clerk then gives the customer the original of this credit voucher and files the newspaper duplicate in the usual way. Upon sorting the slips that night, the duplicate would be noticed, on account of its difference from the other slips handed in and would thus prevent mistakes. Likewise, if it became necessary for, say, the lunch room to buy a ham from the market, the market attendant could make out his charge sales slip as usual, giving the duplicate to the lunch room attendant with the ham. That night, the appearance of this grayish duplicate among the salmon originals handed in by the lunch room attendant would immediately call attention to the transaction. It might be stated here, at the risk of lapsing into the axiomatic, that such a transaction, although favored by some exchanges, is not good business. It should be of rare occurrence and even then needs special treatment. The proper procedure in such cases would be to have the Market turn the ham back to the Stock Room, receive credit for it and then let the Lunch Room draw the ham at the cost price. This point is more fully discussed in connection with Stock Records.
After the attendant has recorded the charge sale in the proper manner and given the duplicate slip to the purchaser, he still has to dispose of another copy (or two other copies if triplicating records are used). The original should be speared onto an ordinary file, each clerk having his own filing hook in a convenient but inconspicuous place. The triplicate is left in the sales book or on the roll, as the case may be. In addition, the clerk should be required to ring up the sale on the cash register. This is, of course, very important, and heroic measures should be adopted to insure the recording of every sale, of whatever kind, on the cash register. Means to this end can readily be devised. The subject of cash registers is a very important one and is discussed in detail elsewhere.
The above operations are described at some length, but in reality, they are simple in the extreme: a customer makes a purchase, the clerk records the sale, rings up the amount on the cash register, gives the customer his goods and a copy of the sales slip and sticks the other copy on his file. If the cash register prints tickets, he may drop the ticket in his compartment of a box or drawer provided for the purpose, or preferably, give it to the customer.
After the day’s business is over, each clerk gathers up all his receipts for the day and assorts them into three piles, representing the cash, coupon and charge sales, respectively. He then makes out his sales report on Form 5 as shown in Fig. 4. This report should be printed on the face of an end-opening envelope measuring not more than 4¼ × 10 inches, thus forming a convenient receptacle for the coupons, charge slips and cash turned in. The printed form should be, say, 7½ × 3 inches. As these envelopes are not subjected to rough usage, being used but once, any kind of cheap paper will serve the purpose. It might be well in certain cases to have the envelopes match the color of the original charge sales slips for that department, but ordinarily, this would be found an unnecessary refinement. After making out this sales report, the clerk places in the envelope the cash, coupons, etc., and hands it to the Post Exchange Officer or to the Steward, if so authorized. (For obvious reasons, the Exchange Officer personally should receive and check the receipts the night of pay-day and at intervals during the month, even if the Steward is ordinarily authorized to do so.) The Steward or Cashier has meanwhile unlocked the cash register, noted the readings of the record wheels and taken out the tape showing the printed record of sales.
Figure 4. (Reduced in size)
Now, assuming that triplicate records are used, the Steward takes the triplicate copies—either book or roll—“throws” them or checks them for[12] numbering, to see that all are accounted for, and totals their value on the adding machine. By comparing this total with that shown by the appropriate wheels of the cash register, he ascertains if all charge sales have been rung up. If these two agree, all is well, so far. If they do not agree, a note is made of the discrepancy for use in connection with the operations hereafter described.
Figure 5, (Reduced in size)
By this time, the clerks should be ready to hand in their reports and receipts. The Steward fills out the rest of Form 5 as called for by the various columns and abstracts these reports to his Form 4 as shown in[13] Fig. 5. This form should be printed on a card measuring 3½ × 8⅜ inches, to permit convenient filing. If printed on thin paper, it will have to be filed on a Shannon file which is not so convenient in the long run. These cards should be of fairly good stock, as they are a part of the permanent records of the Exchange, but should be no heavier than necessary. The Steward carries down the totals on Form 4 and compares them with the three separate totals shown by the cash register. Restricting ourselves to a discussion of the charge sales, we see that if the total of the triplicate slips, the totals of the clerks’ reports and the total shown by the cash register all agree then the charge sales statement shown on Form 4 is correct. If there is any discrepancy in this or any other column of Form 4 the mistake should be found and corrected before the clerks are dismissed for the night. Suppose, for example, that the cash register shows a total of $20.60 charge sales for the day and the total on Form 4 is $21.90. The first step is to have the clerks make sure that their reports correctly state the actual amount of charge sales slips turned in. If they are correct, then some clerk has probably forgotten to ring up one or more sales. To trace the fault, let the Steward read off all the charge sales from the record tape of the cash register, calling off at the same time the letter of the clerk who rang up each sale. These can be compared with the triplicate copy of the sales slips, or the assembled clerks can be required to note the sales accredited to them, the grand total of which must equal $20.60. In this manner, the error is definitely located. On the other hand, suppose the cash register shows $21.90 and the total on Form 4 shows $20.60. The effect is that produced by a clerk being short $1.30 in charge sales slips after he has actually made the sales. The same procedure as before will locate the mistake. If he cannot produce the slips (or cash or coupons as the case may be) or satisfactorily explain the mistake, the clerk in error should be required to make good the discrepancy. Discrepancies in cash and coupons can be located and remedied in the same manner. It is important that the clerks be required to participate in the task of locating mistakes and to make good on errors, otherwise there will be no incentive to careful work.
When the totals of the clerks’ reports check against the cash registers, the next step is to check the former against the receipts in cash, coupons and charge sales slips actually turned in by the respective clerks. The cash should, in fact, be counted immediately upon being turned in, checked O. K. on the clerks’ reports and put in a safe place. The charge slips handed in by each clerk are compared with the strip from the adding machine (on which the clerk has added up his slips before making out his report) checked against the report and put aside for filing. Coupons are handled in the same way except that they are sealed in the envelope and put in a[14] secure place until the Exchange Officer personally can burn them. This matter of destroying coupons should never be delegated to any other person. In view of the fact that the receipts turned in by each clerk should, and usually do, check exactly with his report, this particular routine is recommended, as it allows the dismissal of the clerks before commencing the work described in this paragraph. In case of mistakes, the simple expedient of making the clerk at fault assist in the work for a few evenings, is usually sufficient to prevent a repetition. In large Exchanges, where the coupon and charge sales are large, it is not customary to total the charge sales slips and count the coupons until the next morning. If the receipts turn out to be greater than called for by the reports, the surplus can be taken up by entering on a single line of Form 26 (described hereafter), whenever the books are closed (or oftener, if desired) an item showing what departments are credited with these excess coupons, exactly as if it were another day’s transactions. Such entry should, however, be prefaced by the words, “excess coupons”. Shortages should be collected from the clerk at fault, thus making the reports correct. The Exchange Officer should occasionally make the coupon and the charge sales counts himself.
It would be unbusinesslike, if the coupon or charge sales are heavy, to require the Exchange Officer, the Steward or any other high priced man to waste his time counting coupons or any other similar task. A less expensive employee should be detailed for this purpose. For such unskilled labor, a boy at $10.00 per month who can run errands, etc., would be a profitable investment in many cases, thus leaving the expensive employees free to do more important work.
Too much stress cannot be placed upon the importance of insuring the correctness of the data entered on Form 4. If the above mentioned checks have been applied, there should be no trouble in any phase of our charge accounts.
Figure 6. (Reduced in size)
For various self-evident reasons, we use Form 7, shown in Fig. 6, for showing a month’s charge sales. This form gives us in a most convenient shape, a summary of that part of our (daily) Forms 4 that relates to our charge sales business, it safeguards us against the loss of any Form 4 and facilitates posting our ledger accounts. This form is kept up to date, the charge sales from Form 4 being entered thereon daily, and therefore, affords us a most efficient aid in closing our books at any moment. At the end of the month, or whenever the books are closed, we find the totals of the columns of Form 7 and post these totals as lump sums into the ledger. For example, the total of column 1 is posted as a debit in the ledger against[15] Bills Receivable, Customers; the total of column 2 as a credit to the same account. The total of column 3 should be posted as a debit against the Store account in the ledger, this being for articles returned to the store by our customers; the total of column 4 is posted as a credit to the store account, being for articles sold from same, etc. These sheets, constituting Form 7 are 11 × 14 inches, and cost $1.75 per hundred without printed headings; a sectional post binder to fit them can be bought for $3.75. The sheet is the same on both sides and will, therefore, take care of seven departments if we use the whole width of the open book. This will be found ample in most cases. It is useless expense to have the headings, etc., printed on the sheets, because a single sheet with neatly written headings can be made to serve as a sort of index for a great many sheets, provided they are mounted above it and are trimmed off just below the headings “DR.” “CR.”, and also trimmed on the outside margin so that the date figures on the lowermost sheet will serve as an index to the lines of the upper sheets. This labor and money saving point will be more fully discussed later.
After these slips have been checked against the clerks’ reports, they must be sorted out and filed according to the names of the purchasers. For this work, have two card index drawers, each fitted with a set of guide cards marked on the tabs with the names of our charge customers. As each slip is found, file it behind the proper name. We first take all the “Store” slips and file them in this manner; we then go through this “sorting drawer” and total the slips belonging to each customer and enter these totals in the column representing that date on Form 9, (see Fig. 7) opposite the names of the respective customers. At the same time, we insert the sales slips diagonally in their proper places in the other or permanent filing drawer. The total of these entries on Form 9 should equal the total charge sales credited that date to the Store on Form 7. If it does, the slips that have been placed diagonally can be shoved down into the proper places as we are through with them; if it does not, they can easily be removed for further examination. This daily check should invariably be made for each department. We proceed in like manner with respect to the other departments, each department having its own sheet or sheets like Form 9. It is evident that this form gives us a summary of all the charge sales made each day from each department, showing the amounts sold to each of our customers. At the end of the month, each line is added across and the total entered. The “Total” column is then added up and compared with the total obtained by adding together the figures[17] (representing the daily totals) on the bottom line. If these two totals check against each other and against the total shown on Form 7, the account may be considered correct and is a record of the daily transactions between our customers and the department considered.
Figure 7. (Reduced in size)
The book in which we bind our Form 9 is known as the “Charge Book”, and it may be well to explain here the physical make-up of this important book of record. It is, of course, on the loose-leaf principle, being of the type known as a “sectional post binder”. It costs $2.50 and the ruled sheets (without special printing) cost $1.00 per hundred. It is, however, to the manner of handling the sheets of the book that attention is especially invited. The old fashioned way would be to enter the names of our customers down the left hand margin of each sheet until all were entered, put the name of the department and the month and year at the top of the sheet and the days of the month at the tops of the successive columns with the heading “Total” at the right of the sheet. Thus, if we had five departments and enough credit customers to require six sheets for the list, we should have to prepare thirty sheets in this manner every month. Now, to show how we can eliminate unnecessary work by the exercise of a little forethought, let us assume that we have started our record in this manner. Now take six copies of Form 9, trim them along the heavy broken lines shown in Fig. 7, and bind one of these sheets in front of each of those we have previously prepared. It is obvious that the book is now ready for another month’s entries without any preparatory writing or numbering whatever other than labelling each new sheet in some convenient place with the month and department to which it pertains. Of course, to care for the five departments, we should have to do this for all five sets of sheets that we originally prepared. It follows that, provided our list of customers does not change, this same operation of inserting trimmed sheets would constitute the only labor necessary to continue this record for an indefinite period.
After considerable experimenting and actual trial in service, the following described scheme has been evolved for handling this record in an efficient manner. While no claim is made that it is perfect, it is believed that it will give thorough satisfaction wherever it is given a fair trial and will save many hours of labor in keeping the books.
1. Take a sheet, Form 9, and enter the names of your charge customers in alphabetical order, commencing on a left hand page. To allow for future changes, leave a blank line before each name and one or two blank lines at the bottom of the page for sub-totals, etc. For clearness and permanence, these names should be put in from a black “record” typewriter[19] ribbon. Write in the headings of the various columns as shown on Form 9. The object in placing the “total” column near the outside margin is to have it next the customer’s name, thus minimizing the chances of error in taking out the wrong total when we make our postings at the end of the month.
2. If our list of charge customers will require more than one sheet, take another Form 9 which we shall call Sheet No. 2 and proceed in a like manner, using the same side of the sheet as before. This should be repeated until all our charge customers are entered. Several blank lines are left at the bottom of the last sheet. Thus, when we have finished and have inserted the sheets in our book, we shall have a complete list of our charge customers all recorded on the left hand pages of our book, that side of each sheet that forms the right hand pages of our book being blank.
3. Now, in order to utilize these blank pages, thus avoiding unnecessary waste, we proceed as follows:—Open your book between Sheets 1 and 2; page 1 will then be on the left and page 2 on the right. This page 2 should now be prepared in a manner exactly similar to that used in preparing page 1, except that the customers’ names are on the right hand margin with the total column next inside. This is clearly shown in Fig. 7.
4. Prepare the blank sides of the other sheets in a similar manner and we shall then have two complete lists of our charge customers, one occupying the left and the other the right hand pages of our book, the confronting pages being practically symmetrical.
5. Let us assume that the Exchange has five separate departments in which charge sales can occur. We cut five sheets along the heavy broken lines shown in Fig. 7 and insert them between pages 1 and 2. Five more trimmed sheets are inserted between sheets (whole sheets) 2 and 3, and so on for the rest of the book. In order to identify these sheets if accidentally removed from the binder and to facilitate the making of entries, we print on each of them in large letters, the name of the department and the month to which they refer. This is best done lightly with red ink as shown (in black) in Fig. 7 where the sheet is marked STORE—AUG. This red ink lettering will not obscure the black ink figures subsequently made.
6. Let us agree to use the left hand pages for the first month’s account and the right hand pages for the next month’s account. Let us take the first trimmed sheet and mark it “STORE—JAN” on one side, and “STORE—FEB” on the other. Do similarly for the sheets reserved for the “market”, “lunch room”, and other accounts. The sheets containing the[20] typewritten headings are not used for recording sales, but are used for guide sheets, for reasons to be set forth later.
It is easy to see from the preceding description that our charge book is a running account, and being always up to date, can be closed at short notice. When two months’ records have been entered, the trimmed sheets are lifted and filed, as will be described hereafter. Fresh trimmed sheets are again inserted in the proper places and the record proceeds as before.
The form in which we have placed our daily records of credit sales lends itself very readily to a process of summation or consolidation. The manner of doing this is as follows:—
1. Prepare a second double list of our credit customers exactly as described above, except that the columns, instead of being headed with the days of the month, are labelled with the names of the various departments, as shown in Fig. 8. Let us call this Form 6. Blank sheets trimmed along the heavy broken lines, shown in Fig. 7, are inserted as before, no recording being done on the typewritten sheets—they are simply guides or indices to the various lines and columns.
Figure 8. (Reduced in size)
2. All these sheets are bound in a separate book to facilitate the work of posting at the end of the month. Experiment seems to prove that this is better than binding these records in the same book with the charge sheets just described. This, for the reason that a clerk is apt to waste too much time in continually turning pages back and forth and is also more liable to make errors in posting.
3. Immediately after the end of the month, Form 7, is checked against Form 9 as previously described. We then take, say, the “store” charge sheets (Form 7) and enter on Form 6 the total that each customer owes the store. We do the same for every other department, also entering the balance remaining unpaid from last month in the column provided for the purpose. We also record in the proper column any credit we have given our customers during the month for goods returned, overcharges, etc.
4. By using the adding machine, we find the total of each department’s column on Form 6; it should equal the total charge sales for that department reported on Forms 7 and 9. If it does not, the error must be found and corrected before proceeding further. These totals, when correct, are entered at the foot of their proper columns on the last sheet of the record. Now add these column-totals on the machine and enter the result in pencil at the foot of the “Total” column on the same last sheet[21] of this Form 6 record; it should check against the grand total of the charge sales for the month reported on Forms 7 and 9.
Figure 9. Actual size
5. When all postings to our Form 6 are complete, we station one clerk at the adding machine and one is prepared to make out our monthly bills or statements of account, using Form 1, shown in Fig. 9. Some person reads off Form 6 the name of each customer and the total charges[23] against him by each department. These items are added on the machine and simultaneously entered by the bill clerk on Form 1. The adding machine operator reads the total of the items he has added, which total is entered by the bill clerk on his Form 1 and by us in the column headed, “Total” on our Form 6.
6. Any credit due the customer is read off to and entered by the bill clerk on the statement. He then figures the balance due the Post Exchange, which balance should agree with that figured independently by the person reading from Form 6.
7. When the last bill has been made out, take the printed strip from the adding machine and find the sum of all the totals that have been read off by the operator. This sum should equal the pencil total described in Par. 4 above and checks the correctness of the account. If a “Duplex” adding machine is used, this does not require extra work. If the accounts do not “jibe” and the error cannot be found, take in rotation the charge slips that you have filed against each customer and add them on the machine, making a separate total for each customer. This should locate the error. If the accounts check, however, (and they should if the previous checks have been made properly) this laborious operation is unnecessary.
All our bills are now ready for mailing, and they are made out correctly. In order to obtain the full benefit of this method, our bill forms should require the minimum amount of writing. The form shown in Fig. 9 gives satisfaction. It is a 3 × 5 inch card and therefore fits standard size card index drawers; it is easily handled and will go into a note size penalty envelope without folding. The appropriate month can be stamped in and the name of the customer entered during spare moments throughout the month, so that the only work necessary at this time is to write in the figures. If the lines of Form 1 are “typewriter spaced”, that is, six to the inch, and the form is not too heavy, it can be placed directly in the adding machine and the various amounts printed on the card. The names of the various departments should be printed on this card in the same order in which they occur on Form 6. In fact, much work will be saved if some specific scheme of sequence or relative order among the different departments is invariably followed.
The writer does not know of a more economical or efficient system of handling the bug-a-boo of “getting out our monthly bills” than that just described. Sometimes, a “duplicating bill-book” is used, but it is a wasteful and inefficient method when compared to this. One of the principal advantages of the system lies in the fact that it is unnecessary to keep a private ledger account for any of our charge customers. If we were to[24] do so, we should simply repeat information that we already have. It will be remembered that we have filed away our triplicate record of each day’s charge sales, which record describes in detail the particulars of every sale made on that day. From this, should the necessity arise, we can reconstruct our whole charge sales record for the month. We have also on file (until the bill is paid) another copy of each charge sales slip, filed according to the names of customers, which, in itself, constitutes one side of the ledger account that would be kept under the old system. These, together with the records previously described, amply warrant the abolition of customers’ private ledger accounts. Another great advantage of this system lies in the ease and rapidity with which the books can be closed at any time.
Attention is invited to the note at the bottom of Form 1. This is a labor saving item that is in accord with the practice of many up-to-date houses—to regard a canceled and endorsed check as the best form of receipt. Hence, if a customer pays his bill by check, it is unnecessary to receipt the bill and return it to him, our endorsement on his check constitutes his receipt. This same procedure can be made to apply to companies, etc.; also, if the company commander will use the sales slips as his sub-vouchers for the expenditure.
We shall now take up the procedure to be followed in recording any and all credit which we allow to customers for overcharges, goods returned, etc. It is apparent that such transaction must occur in any business. Accurate track should be kept of them and they should be handled in the most efficient and time-saving manner possible. Each such transaction results in a credit against our Bills Receivable and a charge or debit against the particular department involved.
As before stated, the clerk who receives the goods that are returned to us makes out a charge sales slip, marks it “CREDIT” and keeps the duplicate, giving the original to the customer. It is usually the rule that nobody other than the Steward or the Exchange Officer himself has authority to give customers credit in this way. In the evening, the clerk hands in these credit slips with his report. When the Steward makes up his report on Form 4, after verifying the clerks’ reports, he simply enters these credits in the last column on his Form 4, totals them and describes each separate credit transaction on the back of his report. All the data relating to the charge sales (and credits given) during the day that are shown on the face of Form 4 are abstracted to the appropriate line of Form 7, which latter sheet gives us in concise form all the data we need concerning our charge[25] sales for the month. The credit slips are gathered up and placed with the filed charge sales slips relating to the person who returned the goods to us. At the end of the month, preparatory to making out our bills, all credits are entered in the column headed “Credit” on Form 6, and are checked against the totals shown on Form 7. This avoids the necessity of entering each credit transaction on a separate line of Form 7 as such transaction occurs. Even if the credit slip were lost, no error should result, because we check the total credits entered on Form 6 against the total credits on Form 7 before we start making out our bills. If these do not agree, we must check both Forms 6 and 7 against the credits shown daily by the various Forms 4. We also have another check in the triplicate copy of the credit slips that has been filed away.
Below is a graphic chart which shows how to handle this system of charge accounts. It shows how the various records experience a continuous process of summation until they finally reach the ledger and the customer’s bill, and how the accounts can be checked as we go along, thus avoiding errors. Solid lines show posting operations, broken lines show possible checking operations.
When any of our charge customers pays his bill, we make an entry in our cash book, giving to each such payment a separate line. We enter the amount of the payment in the column headed “Net Cash” and also in the column headed “Customers”. We do not enter any of this amount in the columns referring to the various departments because they have already been credited for their proper shares through the charge sales records and to do so again in the cash book would manifestly give them double credit for each charge sale. We also stamp “Paid” in the “Cash” column of Form 6, using a dating stamp that will fit neatly into this column. One using red ink is preferable. If only a part of the bill is paid, we enter in this column the amount received, extend the balance to the proper column and, at the proper time, carry it forward to next month’s account. Some book-keepers of the old school will keep a “blotter” or some such book wherein these payments are first noted, copying them at their leisure into the Cash Book. As the Cash Book is a book of original record, this is not only wrong, but is incidentally unnecessary labor and hence to be avoided. When payments like these come in, they should be taken directly to the book-keeper, who should immediately enter them in the Cash Book.
Figure 10.
All such payments occurring on any one day are entered in a lump sum under “Collections,” on the Form 4 for that day. In fact, all cash[27] received, whether from paymasters’ collections on payrolls or any source other than cash sales by any of our departments, is taken up on Form 4 as “Collections”. If a bill is paid before the end of the month, it is treated exactly the same as if it were paid afterward, except that the date is stamped in a different colored ink. It does not confuse our accounts, because the amount paid is entered in the “Customers’” column of the Cash Book and the total of this column is posted at the end of the month to the credit side of Bills Receivable, Customers, in the ledger. The “Customers’” column in the Cash Book is solely for receipts from our charge customers and for nothing else.
If, at any time, we wish to find the total charge sales, we simply find the total of the amounts shown on Form 7, subtracting credits, if any. We also use the total sales credited to the various departments on Form 7 in making up our monthly statement for the auditing officer and for the Inspector. To find out at the end of the month the amount due us on account, we turn to Bills Receivable, Customers, in the ledger, where the balance should show the correct amount. This amount should check with the “Total” column on Form 6 reduced by credits allowed and payments received prior to the end of the month.
It will be remembered that all our Forms 9 were placed in one book and our Forms 6 in another, and that each Form 9 was to be used for two months, that is, used on both sides. After both sides have been used these forms are transferred bodily to the book containing our Forms 6, and placed between the Forms 6 referring to these months. Fresh Forms 9 take the place of those transferred, thus keeping our book “alive” and placing our dead records where they will be less in the way. The logic of this is evident when we remember that we use our Charge Book (Form 6) only at the end of the month, whereas, we use our Form 9 book every day.
As regards Form 8 (charge sales slip) our rolls of triplicate sales slips for the month should be marked on the outside of each roll with the date and the name of the department to which each pertains and kept in a convenient place until the auditing officer has finished his work for that month, when they should be stored together in some place where they can be consulted if desired. They should be preserved for such length of time as may be required by regulations or local laws, depending upon which is the greater. The original slips may be treated in one of two ways; they may be sent to the customer with his bill at the end of the month, or they[28] may be sent to him after he pays his bill. It is felt that the first method is by far the better.
Forms 5 for the month should be preserved until the auditor has finished with them, and it is perhaps advisable to keep them until after the next visit of the inspector. Our Forms 4 are very important and should be kept until after the inspector has inspected the accounts of the Exchange, if not indefinitely. Forms 6, 7 and 9 are a part of the permanent records of the Exchange and should be preserved indefinitely.
The foregoing description of this system of handling charge accounts may sound formidable to the layman, but in reality, it is not so. As shown in the graphic chart (Fig. 10) it is a logical system, proceeding in a simple, orderly way from the charge sales slip to the ledger and the customer’s bill. It belongs to the class of book-keeping called “controlled accounts”—each part of the system knits evenly into the others, and there is a continual process of summation going on throughout the records. There is no duplicated work and every step is one of definite progress towards the goal. It will be found to fulfil the requirements we imposed at the beginning of this essay. It has actually proved its worth wherever installed. It is equally adapted to the large and to the small Exchange. Due to the many available opportunities for checking the correctness of results, mistakes are easily located and corrected. However, if the checks described are applied, especially those relating to Form 4, there should be little excuse for a mistake to appear in any of the higher accounts.
In the light of the preceding discussion of charge sales, our methods of handling cash sales can be disposed of in a few words. In all cases of such sales, the clerk simply gives the customer his goods, receiving the money therefor, makes change if necessary, rings up the amount of the sale on the cash register and places the cash therein. The most important part of this transaction, insofar as our system is concerned, is described in the next-to-last clause. If the salesman once rings up the correct amount on the cash register, the store is sure that the transaction is closed, and closed properly. Means to this end will be discussed under the heading of “Cash Registers”.
It is customary to loan, secured by various kinds of receipts, a suitable sum to the heads of the various departments of the Exchange for the purpose of making change. In some cases, it may be advisable to require them to make a cash deposit to cover these amounts. When the Cashier or Steward is under bond, it is feasible to turn the “change money” of the whole Exchange over to him, taking his note for it.
After closing at night, each clerk enters his cash sales on his sales report (Form 5, Fig. 4) and hands it, together with the cash receipts, to the Steward or other authorized recipient. The latter counts the cash immediately, checks it on the clerk’s report and places it one side until the total cash is checked. He then transfers the item to his own Form 4, (Fig. 5) and compares the totals for each department with the cash register readings for those departments, entering the latter, if they are shown separately for each clerk, on each clerk’s report in the spaces provided for that purpose. Discrepancies are handled as previously explained under Charge Sales.
When the cash is checked and the Steward’s report is correct, he copies the amounts of cash sales for each department into the Cash Book, putting each amount in its proper column. All the cash receipts from all the departments for any one day go on the same line in the Cash Book. On the other hand, credit nothing in the Cash Book to a department except a cash sale. Every other receipt of cash from whatever source is recorded in the Cash Book, also, a separate line being given to each transaction. For instance, as before explained, whenever one of our charge customers pays his[30] bill, we give him a separate line in the Cash Book, entering this amount in two columns, first under “Net Cash” and also under “Customers”.
The Cash Book should have on the “Received” or debit side (the left side) columns for the following items:—Date, Explanation, Vou., Net Cash, a column for each department of the Exchange, Customers, Creditors, Interest and Discount, and at least two spare columns for entering the pay-day collections, etc. The books should not be too bulky as many cash books are, and should, of course, be built on the loose leaf plan. A cash book cannot be designed to suit all cases because of the varying number and kind of departments pertaining to different Exchanges. However, it is easy to secure uniformity of principle and method, which is the main thing. The only point that need vary between different Exchanges is the number of columns in the book and the headings to same.
Figure 11. (Reduced in size)
A cash book will be rather expensive if we have it made precisely as we want it, especially if we have the column headings printed in. There is no doubt that printed headings make a neater book, but in many cases, the advisability of incurring the extra expense is open to doubt. Considering the great variety of stock pages published by various manufacturers, there is rarely an excuse for ordering specially ruled and printed sheets. Special ruling are very expensive, especially when we can order but a small supply. It is found that the sheets shown in Fig. 11 give perfect satisfaction. The lower sample, having 20 columns, will take care of almost any Exchange, and by trimming off the two outer columns of the right hand page, we can secure a capacity of 36 columns. This would prevent us from keeping Cash Received[31] and Cash Disbursed on pages that confront each other, but as the number of pages used for the former usually exceeds greatly those necessary for the latter, this objection has little weight. If convenience so dictated, there is no reason why the two sides of the Cash Book or Cash Account could not be kept in different parts of the book or even in separate books. This would lead to economy of pages.
The upper of the two forms shown in Fig. 11 would be suitable for small Exchanges where a large number of columns are not required, as the left hand side could be used for cash received and the right for cash disbursed. Several of the right hand pages would have to be wasted each month on account of the greater number of entries on the debit side. Some Exchanges use a form similar to the upper one of Fig. 11 except that it is printed and ruled to order and contains a greater number of columns than that shown in the cut. The writer knows of one Exchange that has as many as twenty columns on each side of its Cash Book. Such forms, however, are exceedingly expensive and should be considered more or less of a luxury. The forms shown in Fig. 11 cost $1.75 per hundred retail (without printed headings) and measure 11 × 14 inches, being 11 inches on the binding side. A sectional post binder to fit any number of these sheets can be obtained for $3.25 retail.
The Cash Book is used to give a detailed record of all cash transactions. On the left hand or debit side is entered all cash received and on the right hand or credit side is entered all cash paid out; the difference in the sum totals of the respective sides showing at any time the amount of cash on hand. All items on the credit side of the Cash Book are posted to the debit side of some account in the Ledger and vice versa. (Bank drafts, sight drafts and checks belong in the cash account; notes and time drafts belong to Bills Receivable and Bills Payable accounts.) Our posting is done only when the books are closed, at the end of the month or when necessity arises, thus saving an enormous amount of work. As we keep no private ledger account for each of our creditors or customers, it follows that the totals of each column in our Cash Book are posted as lump sums to the credit of or as a debit against the ledger accounts of Bills Receivable, Bills Payable, or one of the Exchange’s departments, etc. All miscellaneous receipts that do not properly belong to one of the departments, customers, etc., are taken up under “Interest and Discounts”.
An important advantage of this method of handling our cash sales is that we are preparing, as we go along, all the data that will be required by the Inspector. A discussion of the Credit side of the Cash Book is postponed[32] until the subject of Purchase Records is taken up. The above described operations are shown graphically in Fig. 12, where the heavy lines represent operations of recording or posting and the dotted lines show possible checking operations. The item of “Other Cash” is, of course, checked against Form 25, Form 6, or elsewhere, depending upon circumstances.
Fig. 12.
Figure 13, Cover (Reduced in size)
Figure 13, Coupons Actual size
Coupons, as it may be superfluous to explain, are credit slips sold to enlisted men by the Exchange. They are sold on credit, being secured by[34] notes signed by the purchasers; these notes constituting a lawful lien on the drawer’s pay are supposed to be redeemed at the next pay day. The credit slips can be used at any time for purchasing articles at the Exchange. Exchanges formerly used metal coins or “checks” for this purpose, but it was considered inadvisable to permit credit to be so easily counterfeited, transferred, etc., hence the use of paper coupons has become universal, being covered by mandatory orders in certain circumstances.
There are two classes of coupons, the first being the well known “Coupon Book” shown in Fig. 13. These books are made in various denominations ranging from one to five dollars. They are composed of a cover and several interior pages, the latter being divided by perforations into five coupons each, representing values of five, ten or twenty-five cents, depending upon the value of the book. For instance, a $1.00 book contains three sheets, two composed of five 5c coupons each and one composed of five 10c coupons. On the cover of each book is printed the serial number of the book, its value and blank lines for the insertion of the signature of the person to whom issued, the signature of the Exchange Officer and the date of issue. It is also customary to have printed on the cover the words “Not Transferable”. In some cases, on the back cover of each book is printed a promissory note which, after being signed by the soldier, is torn off and kept by the Exchange authorities until the value of the book is collected in cash from the soldier. A variation of this scheme is to have a separate sheet in each book so printed that it will perform a like function. In either case, it is expected that when the book is depleted, the clerk making the last sale shall take up the cover of the book in order that it may be filed in the Exchange for such period as the Exchange Officer shall determine. This, for the reason that sometimes a man will claim that, although he signed up for certain coupons at a certain time, he failed actually to receive the coupons. The possession and production by the Exchange of these used-up covers are conclusive evidence to the contrary.
These coupon books have certain inherent defects that are more or less serious. In the first place, it is found that they can be used as stakes in gambling games and can also be sold or otherwise transferred by the original drawer. This is objectionable, not merely because it is against regulations, but also because the person who so receives the coupons is not apt to draw coupons of his own, thus tending to curtail the amount of coupon sales transacted by the Exchange. This transferring of coupons can be accomplished in several ways. In large garrisons it will take a little time before the clerks will know each man by sight, especially when there[35] is an influx of recruits. If a customer is not known to the clerks, he might be able to use another soldier’s coupon book unless the clerk should require him to write his name and compare it with the signature on the book presented. This would be impracticable at certain times of the month when the coupon sales were heavy, as it would consume too much time, thus preventing the clerks from waiting upon other customers as promptly as they should. It is evident that this kind of a transfer could be effected with any kind of coupons, and there is no preventive except to have the clerks become acquainted with every man in the garrison at the earliest practicable moment. When there is time, the clerks should, in doubtful cases, require the customer to write his name and then compare it with the name signed on the book. All clerks should understand that when any person presents a coupon book not his own the book is forfeited to the Exchange and the occurrence is to be reported to the Exchange Officer.
Another way in which coupons can be transferred (unless each coupon is numbered to correspond to the cover) is as follows:—Private A borrows from Private B fifty cents in cash and gives him a dollar coupon book in exchange. Private B removes the staple which binds this book together, takes the book apart and throws away the cover. He then loosens the staple in a book which he himself has drawn at the Exchange and carefully inserts enough of the loose coupon sheets from A’s book to fill it up again, and bends the staple back into its original position. This scheme is of wider prevalence than most Exchange Officers would imagine, and it is very hard to detect.
Another fault to be found with the coupon book lies in the possibility of there being a wrong number of sheets of coupons in it. Printers are but human and it sometimes happens that there are too few or too many coupons in a book. Unless this is detected before issue, it causes an error in our statement of coupons outstanding. To prevent this, it is necessary to examine each book before issuing it, (even before handing them over to the coupon clerk), a tedious operation, one which consumes unnecessary time and labor.
In most Exchanges, the conviction sooner or later arises that there are coupons outstanding of which the Exchange has no record. This may occur through the suspicion that some person has acquired coupons in some unauthorized manner. When such cases arise, it is customary to place the Exchange Officer’s signature on the backs of the coupons or to employ some secret mark. This is a laborious and expensive operation and should not be resorted to unless necessary. In justice to our printers, be it said that they use every endeavor to prevent coupons from falling into unauthorized[36] hands, but Exchange Officers, if inexperienced, do not always appreciate the importance of taking like precautions. All coupon books should be kept in a place that is absolutely secure, and nobody should have access to same, except the Exchange Officer himself. He should use every effort to prevent a single book from reaching his customers except in the regular way. He should take from the coupon vault only enough books to supply the demand, and they should be carefully accounted for by the clerk who issues them to the men.
Some Exchange Officers use a fac-simile stamp instead of countersigning each book in person. If this is done, the stamp should be most carefully guarded, and kept in the personal possession of the Exchange Officer. When the stamp is made, there should be incorporated in it, some secret mark, otherwise, any person could secure another similar stamp, to the possible loss of the Exchange. This secret mark should be in the nature of a double instead of a single period or some other inconspicuous mark that would probably not “take” well should any person attempt to produce a second fac-simile from an impression of the genuine stamp.
The second type of coupon, shown in Fig. 14, corrects some of the faults of the coupon book. In the first place, it is much cheaper, the first order being about one-half and subsequent orders costing about one-third of the price of the coupon books. This is an important saving because the cost of coupons is a dead loss to the Exchange, and if a satisfactory coupon can be obtained at a low cost, it should be used as a matter of course, and the overhead charges correspondingly reduced.
Figure 14.
As will be noted, these coupons consist of a single sheet of stamps or coupons, separated by slot perforations, the whole sheet containing twenty 5c coupons. Considerable experience in this line prompts the statement that no real advantage is gained by having coupon books of denominations higher than one dollar. The style of coupon here illustrated makes a virtue of this fact and all slips are ordinarily made in the one dollar denomination only. In counting up the coupons after the day’s work, we know that, regardless of colors, each coupon represents 5c. Another beauty of the scheme is that it is practically impossible to have strips containing a wrong number of coupons, the method of manufacture almost precluding such a possibility, thus obviating the laborious checking process. Still another advantage is that the whole dollar’s worth of coupons is printed on a single piece of paper, thus preventing any addition to its value, as is possible with the book when partially depleted. One might think that the smaller size of these coupons would make them hard to handle and count, but an officer of considerable experience in this line of work states[38] that by using the rubber end of a pencil they can be counted with more facility than can the other style of coupons. Some Exchanges would probably require each strip to have attached to it a detachable stub on which the soldier would be required to receipt for the coupons and also promise to pay for them at next pay day. In this case, as in the case of the coupon books, such practice merely adds unnecessary work and serves no useful purpose. On pay-day, we should have to handle one such stub for every dollar’s worth of coupons that each soldier had drawn; each of these stubs or cards would then have to be stamped “Paid” and returned to the soldier. This is not an efficient method.
Whichever style of coupon is decided upon for use should be printed on stock of various colors and coupons of one color only should be issued until it is desirable to have a check on our outstanding coupons. (Of course, if the books are used, it will be necessary to have the 5c and the 10c coupons of different colors.) The color should then be shifted and when coupons of the old color cease appearing, we can arrive at an approximate check on our outstanding coupon account. We say “approximate” because it sometimes happens that a man puts away a whole or a partially used book in a garment and thus inadvertently retires it from circulation for a space of time that may stretch into months. Of course, this could be prevented by issuing a notice that all coupons must be presented before a certain time, and that after that time, no coupons of the old colors would be accepted. This would give us a fresh starting point as regards our outstanding coupons, but such a proceeding should be resorted to only under the most serious circumstances, because it savours somewhat of a person refusing payment on a draft. When, however, there is good reason to believe that our Coupons Outstanding account is incorrect, such a step should be taken immediately, as it is about the only practical way in which we can correct the account—a very important one.
Before explaining at length the system of handling coupon sales advocated herein, it may be well to examine the regulations with which we must comply. First, comes par. 15, G. O. 176, W. D., 1909, which reads as follows:—
“15. Sales on Credit. When the commanding officer and council are agreed that it is to the true interest of the command, the former may authorize a credit at the exchange to any soldier in good standing to an amount not exceeding in any one month one-third of his monthly pay. This will be given upon the request of the soldier, in writing, approved by his company commander, and these credit checks will be carried on the[39] accounts of the exchange as “bills receivable” until paid. Soldiers granted credit will be distinctly informed that they must make prompt and unsolicited payment to the exchange officer on next pay day. Defaulters will be debarred the privileges of the exchange and are liable to trial and punishment. It is the duty of the soldier who has been given credit to pay the amount as soon as he receives his pay, and the exchange officer will be present at the place of payment to receive the money or make such arrangements as will facilitate the payment. Credit will not ordinarily be extended to a soldier between the date of last payment on rolls before discharge and the date of discharge. When the debt has remained unpaid one pay day on which the soldier was paid a balance sufficient to discharge such debt and no other means of collection is practicable, the exchange officer will notify the company or detachment commander, who will note the amount on the next pay rolls as “Due Post Exchange —— ——” and on succeeding rolls until the debt has been collected, or until it is apparent that it can not be collected, when the credit check will be turned over to the company or detachment in lieu of so much cash at the next distribution of profits as provided in paragraph 17.”
In the opinion of many, it is unfortunate that an arbitrary limitation of credit has been fixed as shown in the first sentence of the above quoted paragraph, as it tends to work a hardship upon some of our most valuable soldiers. Most of our older non-commissioned officers and N. C. staff officers are married and spend most of their pay for articles that are carried in stock by well equipped Exchanges, such as meats, groceries, etc. It is not always convenient or even possible for them to pay cash for purchases, and there is no doubt that they would do a much larger business with the Exchange if greater credit were allowed them. It is a well established custom to extend reasonable credit to all commissioned officers; it would seem but just to extend a proportionate amount of credit to such N.C.O.’s as might be vouched for by their respective organization commanders. It is hoped that this limitation may be modified, but until that occurs, the Exchange Officer has no discretion in the matter and should be careful to avoid any infraction of the general rule.
The second sentence of par. 15 also merits more than a passing glance. It requires a previous request “in writing” by the soldier before credit coupons can be issued him, and the request must be approved by his company commander. It is not specifically stated that this request must be renewed every month, nor is the writer aware that this point has ever been decided. We may, therefore, assume, when any man has once made this written request, that credit to the amount of one-third of his monthly pay be extended to him, that he need not formally renew this request monthly. Should this interpretation prove fallacious, we must have the consolidated request (Form 25, to be described hereafter) signed by the men monthly. If this is done, the list should be signed at the same time as the pay rolls, to[40] save trouble for the men. It is found that when there is an unnecessary amount of “red tape” connected with the operation of securing credit coupons, the men will (perhaps unconsciously) tend to shun the process, with consequent loss of business to the Exchange. There is every reason why we should make it as easy as possible for everybody to transact business with the Exchange and any unnecessary stumbling blocks should be carefully searched out and removed. The Exchange should be run on the same general principles which govern a civilian store, and if the latter subjected its customers to petty annoyances of any kind, it would soon be driven out of business by lack of trade.
Returning to paragraph 15, it might be remarked that perhaps the best way in which the men can be “distinctly informed that they must make prompt and unsolicited payment”, is by incorporating this statement on the receipt which they sign when the coupons are issued to them. Beside the other matter contained in par. 15, we should note par. 13 and par. 14 (c) and (e) of the same order. They read as follows:—
“13. Checks or Coupons. The use of checks or coupons representing values, and exchangeable for merchandise or other charges at the exchange, is encouraged merely; but care should be taken that these checks are not disposed of to unauthorized persons, and to provide against this, they should never be redeemed in cash. When permitted by the commanding officer, they should be sold by the exchange officer and regarded as a liability until redeemed.
“The coupon-book system of extending credit to enlisted men will be used by all exchanges conducted at posts where more than two organizations are stationed, except at temporary stations and at places where conditions of service have made it impracticable to procure the coupon books.
“These coupon books will bear the name of the enlisted man to whom issued and will be honored at the exchange only when presented by the enlisted man whose name appears on the book.”
“14 (c). Bills Receivable (Enlisted Men).—To show the value of checks issued to enlisted men, and the amount of cash received from them in payment of their due bills. When checks are issued, the entry will be ‘Cash, Dr. to Bills Receivable.’ The difference between the two sides of the account will show the amount of due bills on hand unpaid.” (Par. II, G. O. 201/09.)
“14 (e). Check Account.—To show the amount of checks outstanding. When the checks are issued, this account will be credited as above, thus, ‘Bills Receivable, Dr. to Checks.’ The amount of checks received each day for merchandise will be charged to the account, thus, ‘Checks, Dr. to Merchandise.’ The difference between the two sides will show the amount of checks outstanding.”
Note that the outstanding coupons are a liability, as they may be presented as a claim against the Exchange at any time. Of course, the receipts which the men have given us for these coupons, in other words, their notes promising to pay us for the coupons, are an asset and should be carried under Bills Receivable. Some Exchanges call such assets “Bills Receivable, Credit Coupons”, thus differentiating them from such as Bills Receivable, Charge Accounts or Bills Receivable, Laundry Coupons.
Paragraph 14 (c) and (e) translated into non-technical language simply means that when we issue coupon books of a certain value to the men, we must enter this amount on the left hand or debit side of our “Bills Receivable” account in the Ledger, thus charging up “Mr. Bills Receivable”, as it is sometimes explained, with a certain amount for which he must account. Now, as the Ledger is to be kept according to the double entry system, we must obey the fundamental principle of this system, which is, “for every account that is charged (debited) a certain amount we must credit some other account with the same amount”, hence the name, double entry. In view of these facts, therefore, we turn to our Check Account—or Outstanding Coupons, if you prefer to call it so, and credit this account with the same amount that we charged against Bills Receivable. When we receive the cash for the men’s notes at pay day, we credit “Mr. Bills Receivable” with the amount taken in, thus clearing him of this amount and making him no longer responsible for it. We have previously, of course, entered this amount on the debit side of the Cash Book, for the same reason noted above. When the coupons are presented by the men in payment for articles purchased by them, we credit “Merchandise” (or the proper department of the Exchange, if departments are used) with the amount taken in. This, for the reason that said department is no longer accountable for that amount of merchandise; we must, therefore credit that department with the proper amount and charge or debit it against the outstanding coupon or Check account. It must be remembered that outstanding coupons are a liability against us and are in the nature of bills payable—except that they are payable only in merchandise. Hence, if we consider this account as a living person—one of our creditors—it will appear more logical when we place to his credit everything we owe him, i. e., the coupons we have given him, and to charge him the value of the merchandise he has obtained from us in return.
The above prolix explanation will sound puerile to an experienced accountant; it is not written for him, but for the inexperienced man with little or no knowledge of scientific book-keeping, who is trying to work this system or one like it. The writer knows from bitter experience how hard it is to avoid some of the unexpected pit-falls of double entry.
Now we are in a position to describe the manner of handling our coupon sales, starting from the very beginning.
Figure 15. (Reduced in size)
The first thing to be done is to have the various organizations submit their lists of men who are entitled to credit at the Exchange. This is usually done a few days after pay day, it being the excellent custom in most Exchanges to issue no coupons until about five days after, in order to attract some of the cash that is apt to be plentiful for only a few days. One of the best forms for such a list known to the writer is Form 25, shown in Fig. 15. It measures 9 × 20 inches and may be punched to fit a loose leaf file. It is faint ruled horizontally six lines to the inch in order to fit typewriter spacing. The length of this form enables a whole company of 110 men to be entered on its face, without resorting to the necessity of turning a page. In garrisons where the organizations are uniformly smaller, the length of the form can be correspondingly reduced. Each organization fills out one of these sheets on a typewriter, entering the names of the men in pay roll order in column 3. In column 2 is entered[43] the rank of each man, and in column 4 is entered the amount of credit he desires, which must not exceed one-third of his pay. The men sign their names in column 1 and in space A is printed the statement to which they subscribe—that they request credit to the amount of one-third of their pay and that they promise to pay for their coupons on the pay day after drawing same, etc. This list is then sent to the Exchange at the regular time, preferably a day or two before coupons are to be issued.
There is a point in this connection that sometimes causes trouble, due to the fact that pay day never comes on the first of the month. There are two ways of handling the situation. The first is to have the companies submit their lists to the Exchange on the first of the month and the Exchange issue coupons on this authority until the last of the same month with the exception of the five days after pay day, during which time, no coupons are issued. The men pay for the coupons on the pay day which occurs in the succeeding month. The principal objection to this method is that if a man draws his full allowance of coupons on or near the first of every month, he would, if he deserted a few days before pay day, cause the Exchange a loss of twice his monthly allowance. The second way of proceeding obviates this defect: it consists in having the companies submit their lists a few days after each pay day. The Exchange issues coupons on this authority and all of these coupons are supposed to be paid on the pay day which winds up this period. Therefore, it is seen that the Exchange runs a smaller chance of loss, or rather, the chances are that the loss will be smaller.
Figure 16, Actual size
Upon receiving these lists, the coupon clerk at the Exchange takes a supply of Form 19, shown in Fig. 16, and enters the names of the men at the top of these cards, one card for each man who is entitled to credit. This work can be done at odd moments during the month. It is also a good plan to enter the amount of credit to which the man is entitled. This data should be entered at the very top of the card where it will catch the eye. These cards are 3 × 5 inches, specially printed; they fit into the filing cabinet, to be described later. One standard drawer 15½ inches long will hold enough cards to take care of a six company post. The cards should be of fairly good writing stock, but no thicker than is necessary to insure ease of handling. They can be obtained from any job printer, but care should be exercised that they measure precisely 3 × 5 inches, otherwise, they will prove very troublesome to run over rapidly in the drawer, because some will be larger than others. Plain cards of this size can be bought at $1.50 per thousand from regular dealers. All cards pertaining to any one company are behind an index card bearing on its tab the[44] designation of that company. It is also a convenience to have a set of alphabetical guides for each company, as they facilitate finding and filing the cards. After any of these cards receives a record, it is highly important that it not be lost or stolen, so the drawer containing them should be[45] locked except when actually in use. When any man applies for coupon books at the Exchange, he signs his name in the space provided on the card, the clerk adds his own initials as witness, stamps in the date and enters in ink or indelible pencil (or preferably by means of a rubber stamp) the amount of the coupons issued. If the clerk does not recognize the man, he compares his signature with the same man’s signature on Form 25, which he should have near him for this purpose and to see that the man does not overdraw his allowance. He also requires the man to sign his name on the stub of the coupon slip or the cover of the coupon book issued. In addition, the clerk should have at hand a strip of paper on which he has entered in rotation along the left hand margin the serial numbers of the coupons he has on hand. Such a strip can be struck off on the adding machine. As coupons are issued, the clerk should enter opposite each number, the name of the man to whom it was issued. He can do this while the man is signing the coupons, so no time is wasted. In the evening, this strip is given to the Steward or cashier and the total value of coupons issued is entered in the proper place on the Steward’s daily report (Form 4, Fig. 5). The record of this strip is checked by comparison with the number of coupons left in the possession of the coupon clerk.
It is found in practice that Form 19 contains sufficient space for noting the transactions of any month, for very few men will draw coupons as many as six times during the month. It will be noted that this scheme does not contemplate restricting the men to but one drawing during the month, as is the practice in some places. The Exchange loses trade by such methods, and much better results are obtained by permitting the men to draw when they please.
When the end of the month arrives, the coupon clerk disregards it by continuing to use the same set of cards right along until 24 hours before pay day occurs. (It should be understood by the whole garrison that no coupons will be issued during this time, in order to allow the coupon clerk to work up his pay table collection sheets). By means of an assistant, the coupon clerk transfers the total of the coupons shown on each Form 19 to column 10 on Form 25 opposite the name of the man to whom that particular Form 19 refers. As fractional parts of a dollar are not issued, $5.00 can be abbreviated to “5”. At the same time, the coupon clerk reads off the totals of any unpaid cards that have been carried from the preceding month, these figures being entered in the same manner in columns 5, 6 or 7, as the case may be. It will be noted that these cards have no place for “brought forward” entries. This is unnecessary labor and is therefore omitted. It is no argument against such a practice to ask what would[46] happen if one of the old unpaid cards became lost, because we might ask the same question concerning the current cards. The answer lies in the fact that the checking system will take care of such cases. In this instance, columns 5, 6 and 7 are checked back to the Forms 25 pertaining to the preceding month.
It will be noted that our Form 25 makes provision for entering Laundry charges and has in addition a spare blank column for such miscellaneous collections as may be found desirable. The particulars of the Laundry entries will be dilated upon later. When the amounts that the various men of any organization owe to the Exchange have been entered in their proper columns, each line is added across and the totals due from each man entered in the proper column. Each column is then totaled on the adding machine and the footings checked by comparing the total of the total column with the sum of the totals of the other columns. If they agree, that sheet is ready for payment, and a like process is instituted with the other sheets. These sheets and the Forms 19 are the only papers that need be taken to the pay table.
It may be just as well to discuss this point here, because it is related to our coupon sales more closely than to anything else.
The first thing to do is to make sure there is available a plentiful supply of change. Where there is no bank convenient to the post and the men receive their money from a paymaster, he will sometimes agree to bring with him an amount of change sufficient for the needs of the Post Exchange, but if there is a bank available, we should hesitate before imposing upon the good nature of the paymaster to this extent. It is a great convenience to the men to have their ten dollar bills “changed”, and no Post Exchange should demur when the men offer such bills in payment of their debts. We must always remember that the principal reason why the Exchange exists is to be a convenience to the enlisted man.
There should be three persons at the Exchange table on pay days; the Exchange Officer to personally receive the cash and make change, the Steward or book-keeper to read from Forms 25 the amount each man owes, and a clerk to check this reading with the men’s notes (Form 19), cancel them and deliver same to the men. A non-commissioned officer of the organization being paid is stationed beside the Steward to identify the men. He calls to the Steward the names of the men as they come up, the Steward calls off the amount that each man owes, the latter gives the money to the Exchange Officer. The clerk has meanwhile checked the[47] total amount covered by Form 19 with the amount read off by the Steward, stamped the card “Paid” and placed it in front of the Exchange Officer for his inspection. The latter then gives the card to the man with his change and the incident is closed. It is usually found advisable to have a selected non-commissioned officer detailed to see that all men report at the Exchange table.
After payment is finished, the clerk should total the value of the cards he still holds for each organization and subtract it from the total shown by the proper Form 25. The sum of all these remainders should equal the amount of cash actually taken in at the Exchange table. This check should always be made, and at the earliest possible moment.
It sometimes happens that a man pays for his coupons before pay day; he may have been discharged or transferred, etc. In such a case this fact should be stamped on Form 25 and the total of such amounts deducted at the bottom of the sheet before going to the pay table. The amount of such payments should also be entered on the debit side of the Cash Book as “Pvt. Jones, Co. A, ... $3.00 ... $3.00”, the sums coming under the net cash and the credit coupons columns respectively. If he also paid $1.40 for laundry work done, this entry would be “Pvt. Jones, Co. A, ... $4.40 ... $3.00 ... $1.40”, the sums coming under net cash, credit coupons and laundry coupons respectively. The amounts collected at the pay table are entered in the Cash Book in the same way, all on one line. At the end of the month or when the books are closed, the total of the credit coupons column is posted as a lump sum to the credit of the Bills Receivable. Credit Coupons account in the Ledger and the Laundry collections are handled in the same way.
Having traced this branch of the coupon business to its end, let us retrace our steps and follow another branch until we come to the same goal, the Ledger.
When the men receive their coupons, they use them for purchasing articles from the Exchange. The clerk making a coupon sale should identify the man making the purchase and make sure he is using his own coupons. He should also satisfy himself that there is no fraud, forgery, etc., connected with the coupons. These two operations are ordinarily instantaneous, requiring no waste of time whatever. The clerk then gives the purchaser the desired articles, tears off a corresponding value in coupons and drops them in his private drawer or compartment, meanwhile ringing up the sale on the cash register and giving the purchaser the receipt printed by the register.
Figure 17, (Reduced in size)
After the day’s work is over, each clerk handles his coupon sales in the same manner as previously described for charge sales, and they are checked by the Steward as before. The latter enters on his Form 4, (Fig. 5) the amount of coupon sales made by each clerk, also, the total amount of coupons issued during the day. All these coupon transactions for any one day are then entered on a single line of Form 26 (Fig. 17) which is the same as that used for Form 7. As will be noted from an inspection of the cut, the coupons issued are entered in column A and the total receipts from all departments are entered in column B. These receipts are distributed among the department as shown, the value carried in column B equalling the sum of the amounts carried in the columns to the right.
Each Form 26 refers solely to one month’s transactions, there are no “brought forward” items. At the end of the month or whenever the books are closed, all of the columns on this form are[49] footed up and the totals checked across. The total of column A should agree with the strip record which the coupon clerk has been keeping as previously described. The detailed process of checking this account will be described later, but it is evident that if the Steward has made out his daily reports (Form 4) correctly, and correctly copied the coupon records to Form 26, there can be no error in the latter statement. After successfully withstanding the checking process, the total of column A is posted as a lump sum to the debit side of “Bills Receivable, Credit Accounts” in the Ledger, writing the entry thus:—“Aug. 31 Credit Coupons $54.00”. It will be remembered that we must also credit this amount to the Outstanding Coupon account. We now transfer the total of the Store column to the Store Account in our Ledger, entering on the right hand or credit side, “Aug. 31 Coupon sales $8.15”. We proceed in like manner with our other departments. The total of column B must, of course, be charged (debited) against the Outstanding Coupon account in the Ledger.
A summary of all these operations is shown graphically in Fig. 18. The solid lines show how a record is carried through the books until it arrives at the Ledger. The dotted lines show the various checking operations that are possible. Attention is especially invited to checking Forms 25 and 26 against each other.
Figure 18.
In leaving the subject, it is deemed proper to state that the Exchange Officer should keep a single entry record of all unused coupons on hand. When they are first received from the printer, he should carefully check them in person and see that they are safely stored. His record of them should show the numbers and colors of the coupons and exactly how many of the various colors he has on hand at any time.
Coupons should be issued at a fixed time daily, and the Exchange Officer should see to it that the men are never disappointed, but are always able to secure their coupons at the specified time.
One of the most important points connected with the running of any store, is that referring to the manner in which the records of the stock are kept. In most Exchanges, the stock records are not good; usually, because a clumsy or inefficient system of records is in force. An endeavor will be made in the description to be given hereafter to set forth a system whereby misuse of stock will be prevented and an accurate estimate of the profits made by each department will be possible. The objection may be made to this system that in a large exchange it would require the services of one clerk to keep the stock records alone, but when we realize that an inefficient stock record can and usually does result in losses that are sometimes much greater in value than this clerk’s wages, we see the futility of such an argument. It is useless to try to avoid the conclusion that we must keep accurate track of our merchandise. In an exchange at, say, a 5-company post, it is economy to pay one man $100.00 per month or even more, to take exclusive charge of the stock records.
In the first place, it is essential to make clear in the minds of the Exchange authorities the difference between a stock room and a store room. The former is for storing merchandise that is bought in large quantities and will not be needed in the various departments for some time. The merchandise in the stock room is charged to it on the Stock Records until it is needed in one of the departments when it is sent to and its value charged against that department and credited to the stock room. A store room in the sense now considered is a place in which we may store the merchandise belonging to and already charged against any department. This “place” may be but a corner or a shelf in the stock room or any other room. As a general rule, it is best to charge merchandise direct to the proper department, as it saves time and work. Then, if the department concerned finds that it is inconvenient to keep this merchandise on its[51] counters or shelves, it can transfer some of it to the proper store room until needed. Both the stock room and the store rooms should be under the jurisdiction of the stock clerk, the former exclusively so. Efficient locks should be provided for these rooms and he or his agent should be the only persons authorized to handle the stock therein.
The stock record is simply a stock ledger in which we keep accurate account of the numbers of articles acquired and dispensed. If practicable, it should show at all times the exact number of each article that we have on hand. Such a record is sometimes called a “Perpetual Inventory”. It would not be practicable in the usual case for us to keep such a record in post exchange business for the reason that it would be extravagant for us to record each cash or coupon sale made during the day. For example, during certain days of the month, such as pay day and the first day upon which coupons are issued, it is manifestly impracticable for us to make out a sales slip for each cash or coupon purchase because there are so many five and ten cent purchases that the cost in time and labor involved in such a method would outweigh the advantages gained. If the average sale amounted to a dollar or so, it might pay us to use sales slips similar to those used in recording our charge sales. Therefore, most Exchanges do not require cash or coupon sales to be recorded except on the cash register. Hence, there is no itemized record of the merchandise that is sold during the day for cash or for coupons, which in turn makes it impossible to keep a perpetual inventory. The result is that an inventory must be taken at least once a month.
If we now take such an inventory and calculate the selling price of all the goods found, the result will represent the receipts each department should turn in if they sold out all of their stock. If we keep adding to this amount the selling price of all merchandise that we receive for and issue to the departments for sale, and deduct the selling price of all articles which each department turns in to the stock room, we shall have, at the end of the month, figures which represent the receipts which should be turned in if each department were to “sell out”. By subtracting from these amounts the actual receipts turned in during the month, we find the selling price of the articles which should be on hand at the end of the month. By taking an inventory at the end of the month and figuring out the selling value of the articles actually found, we can check the operations of our various departments. If there is any great discrepancy, it would show that our clerks are, in effect, taking articles from our shelves and the Exchange is not getting the benefit of its sales. It is not to be expected that these amounts will agree to the cent.
Now if there is but one clerk in any department, it is easy to fasten the responsibility for any shortage, but where there are several, special steps must be taken in order to do this. Suppose we have four clerks in the store department; if they sell from the various shelves indiscriminately, or if one or more of them are sometimes away on duty, it would be manifestly unjust to hold any particular clerk or even all of them responsible for any shortages which might occur. The only solution lies in sub-dividing the store into sections, putting one clerk in sole charge of each and allow no clerk to touch the stock in another man’s section. In case a clerk in unavoidably absent, an inventory of his section can be made in a few minutes, and, if the results at the end of the month show it to be desirable, checked against the sales he had made. In this way, both the clerk and the Exchange are protected. A “roving” clerk or the Steward can take the place of the absentee in case of necessity. Heavy sellers like tobacco and the like can be placed in the sections of two or more clerks, thus taking care of pay day rushes. Unless some such scheme is adopted it will be absolutely impossible to fix the responsibility for any loss the Exchange may incur.
Those departments which are, in effect, “manufacturing” departments, such as the lunch room, meat market, etc., also require special treatment, especially in the matter of figuring the selling price of merchandise issued to them.
It goes without saying that the honesty of the stock clerk must be above suspicion. In case a civilian is employed, it is good policy—in fact, it should be considered imperative that he be required to execute a bond for the faithful performance of his duties.
With the above general explanation of the broad principles of this particular system, we are now prepared to discuss it more in detail. It seems generally conceded that the stock records can be kept most easily, cheaply and efficiently by means of the card index system. The present regulations, previously cited, specify an “inventory book”, and inspectors are prone to interpret the regulations literally. It makes little difference in our case which method is used, except that the card system is more efficient, as before stated. The handling of the inventory book requires no explanation, so, in order to provide for the time (which should be in the near future) when the up-to-date card system of inventory is specifically allowed in regulations, the following description is given. It is hoped that it will prove a conclusive answer to those who ask, “But suppose you lose a card.”
Figure 19, (Reduced in size)
Let us start by taking an inventory of the stock we have on hand in the stock room. We take a pack containing a known number of cards, preferably numbered in sequence, like those shown in Fig. 19, and enter on the top line the name of each article as we come to it; in the right upper corner, the unit in which we sell it, whether pounds, bottles or what not; and at the right of the uppermost data line, the number of such units that we actually find on hand. We do this for each article in succession, using a different card for each. If we have various grades of the same kind of article (cigars, for instance) selling at different prices, a separate card will, of course, be made out for each different grade. (Never sell the same article at two different prices. For example, do not sell cigars for “10 cents each, 3 for a quarter”. Sell them at either price and put in a different brand of equal quality at the other price. It is proper to give reduction on a sale of a box of cigars at a time, but sell them from the stock room in such a case, and not from the store. Another way, permitting sale from the department’s shelves, is by means of a discount slip, which will be touched upon later. The first method, however, probably suits our purposes best, especially when combined with the second.) The cards mentioned above should be left with the articles to which they refer until the inventory for that department is complete. We then look over the shelves to see that there is a card with every article, thereby proving that our inventory is complete, a point of superiority over the book form of inventory. We then gather up and count the cards to make sure that[54] none are missing. The cards are then filed alphabetically behind a tabbed index card referring to that department, or that particular section, if the department is sub-divided. This same procedure is followed in taking inventory of merchandise in the store, lunch room, etc., except that a different colored card is used for each department. All sections of the same department use cards of the same color. As each department will have more or less merchandise in its store room, it will probably be best to take the store room inventories first, then take the articles in the sales rooms. Enter partial totals in pencil and the total in ink or indelible pencil on the first line under the heading, “On Hand”, the date being entered at the left. The number on hand, multiplied by the unit cost and selling prices, respectively, will give the total cost and the total selling price of all the articles on that card. For this purpose, the unit cost and selling prices are entered at the upper left hand corner of each card. The total cost prices are used in our inventories shown on our monthly statement, and the total selling prices are used in our stock records only. In large exchanges, these cards are not used again until the next inventory is taken, so it is seen that they will last for several months.
When merchandise arrives, it is cared for as described under “Purchase Records” and when the total cost and selling values of the goods on any invoice have been figured and transportation charges, etc., distributed, the selling values are entered on Form 17, shown in Fig. 20. Two copies of this form are used every day, one for cost prices and one for selling prices. Each invoice requires but one line on each of these forms, so one form is ordinarily ample for a day’s stock transactions. In the left hand column is entered the number of the invoice and in the Dr. column pertaining to each department is entered the selling price of all articles which are covered by that particular invoice. The sum of all the values entered in the Dr. columns on any one line should therefore equal the selling price of all articles covered by the invoice whose number appears at the left.
This same procedure is followed with all invoices received, and therefore covers all merchandise transactions. It will be noted that there are no “Requisitions”, properly so-called, in cases like this where the incoming goods are sent direct to a department. The department head receipts for such goods by simply placing his name or initials in the right hand column of the retained copy of our original order. (See Purchase Records.) This simplified way of handling such a transaction saves an enormous amount of unnecessary work, and is just as sound as the Requisition System.
Figure 20, (Reduced in size)
This proposition has previously been mentioned, but we purpose now to show in detail how such a transaction is effected. Let us suppose that the lunch room needs a ham, and it is desired to purchase same from the market department. Assume further that the selling price of this ham is $3.25. It is evident that we must first credit the market with this amount. This is done by means of a “turn-in-card”, Form 12, shown in Fig. 21. The card is filled out as shown, (the name of the article is not essential), is signed by the stock clerk and is given to the head of the market department as a credit for the ham, which is then issued to the lunch room man on a regular requisition. The requisition cards and the turn-in-cards are precisely alike, except that the latter are printed in red ink. With the exception of the signature, therefore, Fig. 21 is also a reproduction of the requisition upon which the ham is issued to the lunch room. These cards are of standard size, 3 × 5 inches, and are[56] of various colors, depending upon the color scheme adopted as described under “Charge Sales”. Hence, we may assume that the market’s turn-in card was printed in red on a buff card and the lunch room’s requisition was printed in black on a salmon colored card. The cards can be bought cheaply with “horizontal ruling”, thus cutting down some of the bill for[57] specially printing the cards. It costs less to have the turn-in cards printed in red than it would to have a special form of card printed, and they are better, besides.
Figure 21
In issuing the ham to the lunch room, the stock clerk should note on the requisition, “Cr. Market”. He then enters the transaction on Form 17 as shown in Fig. 20. In all such transfers, the sum of the credits on any line should, of course, equal the sum of the debits. It is not essential to number these requisitions and turn-in slips because the date stamped at the top is sufficient to enable us to identify any particular transaction. The market man would hand in his credit slip to the Steward with his daily report of sales. The stock clerk would hand in the requisition (receipted by the lunch room man) with his Form 17 for that day.
There is still another transaction for which we must provide and that is the operation of returning to our creditors goods which we have received from them. This may arise through some defect in the merchandise or through some other cause. Such a transaction is handled in exactly the same manner as before. See entry opposite No. 7343 in Fig. 20 where we have credited the store with $7.60. The goods were received on this invoice and deduction made on same for this amount. If this invoice pertains to an account already closed, we can make out an invoice of our own, give it any desired number and give the store credit as before.
Goods which are returned to us by our customers are credited to their accounts through the sales records as before described and do not affect the working of the stock records. Wastage, breakage, etc., is credited to departments by means of this same “turn-in” card; so, also, is discount given on goods sold in quantity, as a box of cigars, for example.
Since the whole operation of accounting for our goods on the basis of selling price is purely for the purpose of protecting our stock, and not for the purpose of calculating our monthly profit and loss sheets, it is seen that it is necessary to make out another copy of Form 17 daily, in order to record the same transfers, issues, etc., on a cost price basis. This will be discussed more fully later, but let it be stated here that this work is necessitated by the rule which requires us to base our statement of assets, insofar as merchandise is concerned, upon the cost price of same. This, for the reason that it is not sound practice to anticipate profits. Therefore, our inventories, when carried as assets, must be based on cost prices, and in order to secure a true statement of profits earned, we must record the cost price of all merchandise that has been purchased during the month and distribute this cost properly among the departments.
At the end of each day’s work, the stock clerk signs his Form 17 for that day and fastens to it all invoices, retained copies of orders (accomplished as previously described) and requisitions that are entered on said Form 17. These papers are really vouchers to this report and should remain with it until they have been checked against it. The whole bunch of papers is handed in to the Steward and Form 17 is checked as soon as possible. After this is completed, the invoices and the retained copies of our original orders which pertain to them are handled as described under Purchase Records; their function as a part of the system of stock records having ceased.
The stock record is composed of two parts—one relating to cost prices and the other to selling prices. In all other respects, these two parts are identical and are handled in the same way. Each “selling” Form 17 is entered on a single line of the “selling” stock record, and each “cost” Form 17 is abstracted to a single line of the “cost” stock record. One page of the stock record (Form 27) is shown in Fig. 22. Only the left hand page is shown; the other departments are supposed to be on a right hand page, confronting the one shown in the cut. In cases of departments where credit transfers do not exist, the CR column can be omitted, with a resulting saving in space.
At the end of the month, or whenever our books are closed, we total each column on the adding machine and enter these totals on the next blank line, as shown, and then, when our inventory is taken, the value thereof at selling price is computed and entered just below these totals in the appropriate columns, and subtracted from them. The remainders, it is evident, should equal the total sales for the period considered. In order to compare these amounts, we now enter the total sales for each department in its proper column and find the difference between these figures and those immediately over them, and enter the discrepancies at the foot of the columns. These operations are shown in the figure. Theoretically, the amounts in the CR columns should just balance the discrepancies in the DR columns, but in actual practice, this state of affairs will rarely occur. The resulting net discrepancies, if small, are due, primarily, to wastage, failure to sell exact weights, etc. If these discrepancies are large, the cause thereof should be promptly investigated.
It is easily seen that this scheme permits us to make a check on any[59] department at any time by simply taking an inventory of that department. All other data that we need for such a check are already available, and, as it would not take long to take an inventory of a single department, these checks should afford us a most efficient means of keeping track of our departments. It should be unnecessary to state that these check inventories should be taken without warning, and, preferably, by the Exchange officer himself.
If this system of handling stock is faithfully carried out, one of the greatest chances for “leakage” in the Post Exchange will be absolutely prohibited. It requires work, but no more so than any other efficient stock record, and the results are superior to those obtained from any other system known to the writer. If any exchange employee objects to the system on the ground that it entails too much work, it might be safely assumed that his real objection lies in the system’s efficiency.
Figure 22, (Reduced in size)
In most Exchanges, the custom obtains of keeping in the ledger a separate account for each creditor, i. e., each person or firm from whom goods are purchased. This entails an enormous amount of work, and as this work can be done by none but an efficient employee, it also entails a considerable unnecessary expense. In the system to be described, this work is reduced to a minimum, and while each of our creditors has his ledger account, this account is kept in such form as to require no duplication of our records, and, at the same time, to tell us at any time exactly how we stand with each of our creditors.
Let us start with the process of ordering our merchandise. This is done on Form 15, shown in Fig. 23. By means of carbon paper, a duplicate of our order is entered on Form 28, shown in Fig. 24. The original goes to our creditor as an order; these orders are numbered consecutively throughout the year, or even over a longer space of time, should it be found desirable. Form 28 goes to the Receiving Clerk and is held by him on a Shannon file until the goods arrive. He then checks the goods against this form and issues them as described under “Stock Records”. A variation of this method, known as the “blind tally”, is worked by making out a triplicate copy on Form 28, this copy to have the “quantity” column blank, which is easily effected by slipping a piece of paper above it to receive the carbon record which would otherwise be printed in that column. The receiving clerk then has no idea of the quantities ordered and fills in the “quantity” column himself. A comparison of this with the duplicate (kept locked up in the office) quickly shows us whether we received all of our goods. This system has broken up some very obscure practices. In either system, it should be noted that we need not await the arrival of the invoice, unless it is desired to do so, before issuing goods to departments. The columns at the right of Form 28 are for convenience in calculating selling prices, etc.
Figure 23
Natural size of sheet about 8 × 10 inches
Figure 24
As previously noted, the receiving clerk (or stock clerk, whoever handles this work) hands in at the close of business each day, two copies of Form 17, one covering the selling price of all stock which has arrived or been transferred during the day, and the other covering the cost price of[63] same. Attached to these forms are all requisitions and receiving records (Form 28) covered by these Forms 17. The Steward sees that each receiving record is correctly calculated and properly entered on both copies of Form 17. (He, also, at this time, sees that the requisitions are properly entered on both forms.) The receiving records are then filed in a Shannon drawer to await the arrival of invoices or for comparison with them if they have already arrived. For convenience, they are filed behind alphabetical guides according to the names of our creditors. When the invoices arrive, they are filed in the same manner and in the same drawer. They would, therefore, naturally tend to find each other.
Before the receiving record is sent from the office to the receiving clerk in the first place, the order is entered in our Purchase Record, which, as its name indicates, is a chronological record of all our purchases of merchandise of whatever sort. Hire of services, of course, is not entered in this record.
Figure 25, (Reduced in size)
There are various forms in use for Purchase Records, invoice Records, etc., and a study of several of them leads us to advocate the use of Form 29, shown in Fig. 25 as being the best suited to the work in hand. This is specially ruled and printed and like most of the other forms described is as well suited to the needs of a small exchange as a large one. They will cost about $12.00 per thousand and a good substantial binder for them will cost from $2.75 to $11.00, depending upon the quality of the binding. One and a quarter inch back is large enough for our purpose; the sheets are 10¼ × 10½ inches, the former being the binding side.
When our order is first made out, we enter in the proper column of the purchase record, the name of the firm on whom the order is drawn. This is the only entry made at this time, and the retained copy of the order (the receiving record) is then sent to the receiving clerk. When the invoices arrive,[65] they are stamped as shown in Fig. 26, the 1st and 2d lines of this stamp are filled in, their date is entered in the left hand columns of the purchase record and the invoices are then filed as before described. In this way, the office keeps track of how fast the stock is arriving, because the number of firm names entered on the purchase record will show us the number of outstanding orders, and the number of dated entries will show us the number of invoices that have arrived which have not yet been checked up by the Steward (usually because the goods have not arrived). When the goods arrive, whether they follow or precede their invoices, and the receiving clerk has checked them into stock and returned Form 28 to the office, the purchase price is entered in the Purchase-Credit column shown. This purchase price disregards our cash discount, which is cared for in the cash book. However, if there is any allowance due us for returning all or a part of the goods on any invoice, the amount of such rebate is entered in the Debit-Purchase column. This is the only use to which this column is put.
Figure 26
Let us suppose that we are now ready to pay a bunch of invoices. Proceed as follows:—
1. Take the invoice file, and, starting with the letter “A”, go through the file, taking the accomplished invoices as you come to them. All those relating to any one firm should be found together, as before mentioned, thus saving much time at this stage.
2. Having your invoices, make out a voucher (Form 14, Fig. 27) for each firm or creditor concerned, entering thereon all invoices relating to that firm. If the buying is done properly, there should be plenty of room on the voucher for these invoices. (In case of a firm from whom we make almost daily purchases, we hold the invoices and make one payment at the end of the month.)
3. As you go along, have a dating stamp handy and stamp the date on each invoice as you make out the corresponding voucher. If the invoice is discounted, stamp the date in the “Discounted” space; if there is no discount, stamp the date opposite the word PAID (see Fig. 26). At the same time, enter the voucher number (which may, and probably will differ from the invoice number) in blue pencil on the proper space of this same stamped impression.
Figure 27, (Reduced in size)
4. When all the invoices are finished, take the vouchers, and, starting with the top one, find where each invoice is entered in the purchase record and stamp the date in the PAID column opposite each entry. These places are easily found by reading the invoice numbers entered on the vouchers.
5. While you are stamping these dates, compare, as you go along, the amount of the invoices as entered on the vouchers, with the amounts entered in the purchase record.
6. Now take the vouchers and enter them in the Cash Book on the right or credit side. In the “net cash” and “creditors” columns should be entered the exact amounts actually paid, in the Discount column should be entered the amount of discount allowed. Discount is always shown in the cash book and on the vouchers in red ink, to avoid confusion with credits, which should be shown in black.
7. After the cash book has been posted, the proper checks are made out, ready for the signature of the Exchange Officer. They and the vouchers are then mailed to the various creditors.
8. The paid invoices are then placed in a Shannon file drawer by themselves where they can be consulted easily. They form a complete file of sub-vouchers to the cash account for the month. They should never be mailed to our creditors for the purpose of having them receipted; it takes too much energy and time to get them back. In case our creditor fails to return our voucher, we can still prove payment, beyond a reasonable doubt, by producing the canceled check (which he must release sooner or later) and the original invoice exactly corresponding to it in value. One authority goes so far as to say,—“If a check bears no evidence as to its purpose but can readily be identified with a particular bill or invoice, it still is a better voucher than a receipted bill, ... a mere receipt for so much money, which can readily be forged, is poor evidence of a legitimate payment, but a paid check, properly endorsed and otherwise identified as representing a definite liability, is pretty fair proof that the money has reached the creditors.” (P. 49, Vol. 6, Enc. Commerce and Accounting.)
As a matter of fact, we sometimes experience considerable difficulty in getting even the vouchers back from our creditors. Lieut. Schudt, at the Fort Levett Exchange, hit upon a scheme which tends to lessen this difficulty. This is, simply to have the vouchers printed on a card of suitable weight; the reverse of each card being printed in the form of a self-addressed penalty post card. Our creditor, after dating and receipting the voucher, simply drops it into the mail box without the additional trouble of mailing it in an envelope.
A much more efficient system than that just described, one which we hope will some day be prescribed by regulations, is the “voucher check” system. This system is rapidly forcing its way to the front through the merits of its sheer efficiency, and is now in force in the business administration of many large concerns, the Pennsylvania Railroad, for example. The system is founded on the indisputable proof of payment that is afforded by an endorsed and paid check. As one eminent authority on auditing, has said,—“If a check bears on its face or back any indication of its purpose, it is the best receipt for money paid that can be secured”.
The voucher check system does away with separate “vouchers”, as we in the Army are accustomed to think of them; the checks themselves are our vouchers. The checks are somewhat different from the usual type, as they bear on their face a statement of the invoices they pay. In fact, they contain substantially the same matter as is shown on our regular voucher. Form 30, Fig. 28, shows a voucher check that would be entirely suited to our use. It may be unnecessary to explain, the dates, numbers and amounts of the invoices are entered at the right in the proper spaces, the amounts are totaled, rebates, allowances, etc., are deducted, the discount applied to the remainder and the check proper (left hand part) made out accordingly. Form 30a, shown in the same figure, is the carbon copy, the original being made out in indelible pencil. The right hand or coupon part of this duplicate is torn off, pinned to and mailed with the original check. It gives our creditor a memo of the payment, rendering it unnecessary for him to hold the check until he can make a special note of the payment, thus helping him out and at the same time expediting the process of cashing in our check. The left hand part of Form 30a remains in the check book and performs the same function as the regulation check stub. It will be noted that we thus save the labor usually expended in filling out our stubs and in addition, we are not liable to accidentally forget to fill out the stubs altogether, as sometimes happens with the regular style of check book.
The form and size of these voucher checks lend themselves very readily to manufacture in the same “make-up” as certain kinds of sales books, but the ordinary style of duplicating book is probably just as good as the more elaborate kinds. The checks should be printed three to the page and care should be taken that the duplicate forms are “in register” with the originals, otherwise, the carbon copy data will not appear opposite the proper notations.
Figure 28, (Reduced in size)
When these voucher checks are returned to us by our banker, we file them in a check filing drawer, equipped with sets of monthly tabbed[70] guides, according to the voucher numbers, thus forming the voucher record for our cash disbursements.
It is hard to find a weak spot in the check voucher system, but some inspectors seem to object to it, so, until it is specifically authorized by the War Department, the inexperienced Exchange Officer would do well to stick to the system previously described.
To revert to our purchase record sheets: there is no necessity for noting thereon the amount paid on each invoice or the discount on same, as is sometimes done. This information will be shown in the cash book, and data should not be repeated unnecessarily. The remaining two columns (Balances) are used only when closing the books. Whenever this is done, the balance on each order is brought out to the proper column, the amount we owe being entered in the credit side of this column, and the amount due us being entered on the debit side. The total of the credit side of the Purchase column is then posted as a lump sum to the credit side of the “Bills Payable Merchandise” account on the general ledger, and the total of the debit side is posted to the debit side of the same account. Ordinarily, there will be no such debit entries. It will be seen that the net balance of the Purchase Record and of the above account should equal the difference between the total purchases and the sum of the totals shown in the “Creditors” and the “Discounts” columns in the cash book.
The right or credit side of the cash book is, in general, of the same form as the debit side. See Fig. 11. As all distribution of merchandise to the various departments is made through the stock records, there is no necessity of trying to duplicate this information on the pages of the cash book. We, therefore, lump all merchandise payments under the heading “Creditors” and reserve a column for such payments only. In a similar manner, all payments for services rendered in the various departments could be entered under a heading, “Labor”, and the proper distribution or pro-rata share of each department could be shown on the receipted pay roll, as explained hereafter.
Other columns that will be needed are:—Maintenance, Fixtures, Interest and Discount, Appropriations, and Expense. All disbursements which can not be placed in one of the other columns should be entered under Interest and Discount. Under Appropriations, enter all disbursements voted by the Exchange Council for Athletics, Dividends, Sick in Hospital, etc. Under Fixtures should go all expenditures for permanent equipment (new) of the Exchange, and under Maintenance, all money spent for repairs, replacing of old equipment by new, and the like. In the Expense Column we carry such items as wastage, breakage, telephone and telegraph bills, fuel, light, insurance, printing and stationery, and such expendable supplies as twine, paper, etc., as are used in carrying on the business. When the Exchange Officer or authorized agent makes a purchasing trip on purely Exchange business, his authorized expenses should be entered in this column. Exchange Councils differ in their interpretations of what such expenses should be, and the Exchange Officer should have it recorded in the proceedings of the Council that such allowances of expenses are authorized.
To sum up:—the columns of the credit side of the cash book, reading from left to right are as follows:—Date; Description of item entered, giving name of creditor and a clue to the articles on the invoices; Voucher No.; Check No.; Net Cash; Discount; Creditors (or Merchandise); Labor; Appropriations; Fixtures; Interest and Discount; Expense; Sundries, and perhaps, one or two spare columns.
At the end of the month or when the books are closed, the totals of the various columns are posted to the debit side of the General Ledger as follows:—
Creditors posted to Bills Payable, Mdse.
Interest and Discount to Interest and Discount.
Discount to Interest and Discount.
Fixtures to Fixtures (Exchange or Laundry, as the case may be).
The items entered in the Expense column must be distributed, such items as cannot properly be posted to the account of any of the departments must be posted to the “General Expense” account in the General Ledger. The same rule applies to Labor and to Sundries. The items in the Appropriations column must also be distributed among the proper ledger accounts, such as Athletics, Dividends, Sick in Hospital, etc., as the case may be.
The ledger is the book which shows us the status of every part of our business. It is the most important book that we keep, and, consequently, it should be kept with great care. Every transaction, no matter how small, sooner or later finds its way to the ledger, although it will not be given the dignity of a line to itself. The ledger is, of course, kept on the double entry system.
There are several stock forms for ledger sheets, that shown as Form 30, in Fig. 30, being one of the best, as the center balance column saves much space. Perhaps the most convenient size is 11¼ × 11⅞ inches, which gives about the right amount of room in all columns. These sheets, printed and ruled as shown, cost $12.00 per thousand, retail. Leather tabbed indices cost $1.65 per set and a high grade ledger binder costs $12.00, although a cheaper type, known as a “transfer” can be obtained for a price as low as $2.75, but it would not give the service and satisfaction of the regular type of ledger. In our system, a ledger with a 1¼ inch back should prove of ample size.
Figure 30, (Reduced in size)
Live accounts only should be kept in the ledger; as soon as an account has been closed out, the pages containing same should be taken out and placed in a ledger transfer binder. The same procedure should be followed with the filled pages of live accounts just as soon as there becomes little chance of their being consulted frequently.
As has been previously described, our method of handling our charge accounts has rendered it unnecessary for us to keep a private ledger account with each of our charge customers. To do so would be merely to repeat information which we already possess. Also, our Purchase Record has obviated the necessity of a separate ledger account with each of our creditors, for the same reason.
Having no private ledger accounts, it follows that this book then becomes a “General Ledger”, holding only general accounts, such as Bills Payable, etc.
Some of our general accounts should be sub-divided in order to give us a better idea of what the business is doing. Take the Expense account, for example. It is usually desirable to classify our expenses as nearly as possible under the following headings:—
Another example is Bills Payable, which is divided into Charge Accounts, Credit Coupons, Enlisted Men’s Laundry, etc., as circumstances dictate.
A complete list of the accounts in our ledger should run about as follows:—
It has been noticed that our Ledger is used but once a month or whenever our books are closed. At this time, each account in the ledger is brought down to date by entering the results obtained by summarizing the accounts contained in the subsidiary books. This operation is called “posting” and will be discussed with reference to each of the foregoing accounts. It will be assumed, in each case, that the balance from the previous month has been brought down correctly.
It will be of great assistance to remember that any account in the General Ledger represents one of the following:—
a. Every account showing a debit balance is either an asset or a loss; a “Personal” account showing a debit balance is an asset, an “expense” account showing a debit balance is a loss.
b. Every account showing a credit balance is either a liability or a profit; a “personal” account showing a credit balance is a liability (something we owe), any sales account showing a credit balance is a profit.
1. Post Exchange Account. Another name for this account is “Net Worth”, or, if the Exchange is out of debt, “Surplus”. It is important that the status of this account be shown on every monthly statement exhibited to the Exchange Council. It is debited at the beginning of the month with the net worth of the Exchange on that date. Credit it with such decreases and debit it with such increases as will be shown on the “Surplus and Adjustment Schedule” on Form 32 and discussed in connection therewith.
2. Bills Receivable, Notes. Debit this account for the amount owed by any organization to the Exchange for Entrance fees, etc., and credit it via the cash book with the amount of payments received from such organizations.
3. Bills Receivable, Charge Accounts. Debit this account, as before described, with the total amount of charge sales made during the month, which amount is obtained from the Charge Accounts book. Credit this account with the total of the “Customers” column on the debit side of the cash book and also with the total of the “Credit” column in the Charge Accounts book.
4. Bills Receivable, Credit Coupons. This account has been exhaustively discussed under “Coupons”.
5. Bills Receivable, Enlisted Men’s Laundry. Debit this account at the end of the month with the gross amount of laundry bills contracted by enlisted men during the month. Credit it with the total of the cash book (debit) column in which are entered the payments by enlisted men for laundry work done. Also credit this account with whatever credits have been allowed for overcharges, damages, etc., these amounts also being charged (debited) against the Laundry account.
6. Check Account. See note under paragraph 4 above.
7. Bills Payable, Merchandise. Debit this account with balance due creditors on 1st of the month and with Cr. Purchase column of Purchase Record. Credit it with amount of creditors column in cash book, and with total of Dr. Purchase column of Purchase Record.
8. Exchange Building. If built and owned by the Government, this item is not an asset of the Exchange. If the building belongs to the Exchange, we debit this account with all amounts spent upon it for additions[76] of any kind, but not for repairs, renewals, painting, etc. Credit this account with all depreciation voted by the Post Exchange Council, and debit this amount against the Depreciation Account.
9. Laundry Building. Same as preceding.
10. Exchange Fixtures. Debit this account through the cash book with the amount of all new fixtures purchased; credit it with the amount of depreciation voted by the Exchange Council, as before explained, also, with the book value of all fixtures scrapped or otherwise disposed of. When an article is merely replaced by a newly purchased one, it is proper to make no change in the value of our fixtures, but charge the whole purchase price against maintenance. The same applies to cost of repairs.
11. Laundry Fixtures. Same as preceding.
12. Laundry. This is a live account against which are charged (debited):—
(a) The total of the Debit Laundry column in the Cost Price Stock Record, (Form 13), also, the value of inventory at 1st of month.
(b) The total cost of labor incurred by that department.
(c) Any CASH REIMBURSEMENTS that may have been paid to customers.
(d) Such items of Freight, Expense, Maintenance, Board, etc., as may have been paid during the month on account of the Laundry.
(e) Any credits that may be allowed for damages, etc. (From Charge Accts.)
This account is credited with:—
(a) The total of the Laundry columns in the Charge Accounts Book.
(b) The total of the Laundry columns pertaining to the current month on our paytable collection sheets (Form 25).
(c) The total shown in the Credit Laundry column of Form 13
(d) The total of all sales not accounted for under (a) and (b) above.
(e) Inventory at last of month.
The balance, showing gross loss or gain, is transferred to the Profit and Loss Account.
13. Store. This and all other departmental accounts should be[77] handled in the manner described in the preceding paragraph except they should receive credit for all coupon and cash sales made during the month.
14. Interest and Discount. Credit this account with the total of the Discount column on the credit side of the cash book; this anomaly being only apparent, not real. Credit, also, the total of the Interest and Discount column on the debit side of the cash book and debit the total of the Interest and Discount column found on the credit side of the cash book.
15. Insurance. Debit this account, through the cash book, with all premiums paid out, at the time they are paid. Credit this account monthly with the monthly share of such premium or premiums, and debit them against Post Exchange. The effect of this method is to show the unexpired policies as assets, as they should be. There can be no doubt that an unexpired policy is an asset, nor is there any question about the propriety of showing the value of this asset by deducting the appropriate amount monthly. The practice of some exchanges of writing such assets off the books immediately upon payment of premiums is not sound.
16. Fuel and Lights. Debit this account through the cash book with all amounts paid out for these items, provided they cannot be properly apportioned to the various departments.
17. Freight and Express. Same as preceding, except that all such charges on incoming merchandise should be charged to the goods in question, just as if they cost us that much more. “Out” freight, etc., is a legitimate charge against this account.
18. Printing and Stationery. Same remarks as under 16.
19. Telephone and Telegraph. Same as under 16.
20. General Expense. Debit this account with all items of expense that cannot properly be placed under one of the other expense accounts.
21. Depreciation. Debit this account with the total amount of depreciation voted by the Council, and as this entails a corresponding credit elsewhere in the ledger, the respective accounts affected must be credited to a corresponding amount. When the books are closed, the balance of this account is transferred to Profit and Loss by crediting Depreciation and debiting the latter account. This Depreciation account can be eliminated entirely, if desired, by crediting Exchange Fixtures or what not with the amount of depreciation decreed by the Council and debiting this amount straight against Post Exchange. This is the usual method.
22. Lost Accounts. Debit this account with all bad debts which we have decided we cannot collect. This, of course, necessitates a corresponding[78] credit entry in some other account, such as Bills Receivable Credit Coupons or Charge Accounts, etc., as the case may be. When the books are closed, this account is balanced and transferred to Profit and Loss, as explained in 21. If any of these accounts are afterwards collected, we must credit this account, via the cash book, with the proper amounts.
23. Athletics. Credit this account with all amounts voted by the Exchange Council for the support of athletics and charge or debit the same amount against Post Exchange (Account No. 1, above). At the end of each month, pick out of the Appropriations column on the credit side of the cash book, all amounts which were spent for athletics during the month and debit them to this account. The credit balance of this account is a liability against the Exchange.
24. Dividends. Credit this account with the amount of dividends declared by the Council and debit the same amount against Post Exchange account. Debit this account with all dividends paid to organizations. If the dividends have not been paid out by the end of the month, they will show up in this account as a credit balance, a liability against the Exchange; if they have been paid, there will be no balance left to this account.
25. Sick in Hospital. Same as preceding.
26. Regimental Fund. Same as 24.
27. Wages. It will be remembered that each department was debited with its share of all labor charges incurred during the month. These “accrued wages” are credited to this account in the Ledger. Debit this account with the total of the Labor column on the credit side of the cash book. Any credit balance remaining (as when part of the pay due an employee is held back) is a liability against the Exchange.
28. Profit and Loss. This account is ordinarily posted only upon closing the books. To this account, we post the balances of all those Ledger accounts which show a profit or a loss to the Exchange. These include all departmental accounts and also accounts numbered 14 to 29, inclusive, except Nos. 15, 21, 23, 24, 25, 26 and No. 28, which is now under discussion. Remember that each of these accounts which shows a debit balance is a loss and each that shows a credit balance is a profit or gain. After all of these accounts have been balanced and brought into Profit and Loss, the latter is balanced and the balance transferred to Post Exchange. Before this last named operation is performed, however, a trial balance should be taken, because, for reasons before explained, the books will never[79] balance to the cent, and the entry of a small item, usually “income not otherwise accounted for,” is necessary in this account before the books will balance.
29. Maintenance. This is really in the nature of an expense account and we should debit it with the amounts shown on the credit side of the cash book as paid out on this account. Credit this account for such items as can be and are debited against any of the departments (see 12 d); credit this account for the balance remaining at the end of the month and charge same against Profit and Loss.
It has been stated above, that all “Expense” accounts are balanced monthly and posted to Profit and Loss, and that after a trial balance has proved the Ledger to be in balance, the balance of the Profit and Loss account is transferred to the “Post Exchange” account. The remaining accounts, Nos. 1-11, inclusive, etc., represent assets and liabilities and are not transferred at all, although they are balanced every month.
We now come to the book-keepers’ bug-a-boo, the “Trial Balance”. This is a simple thing (to describe), consisting merely going through our ledger, taking the total of all the totals on the credit side of all our ledger accounts and seeing if this equals the total of all the totals on the debit side. If these totals do not agree, the book-keeper must run down the error and correct it. There are no rules for this procedure that would be of practical benefit. This trial balance does not necessarily mean that the ledger is correct, it simply proves that for every debit item entered a corresponding credit entry has been made; it does not prove that these entries have been made in the proper accounts.
A sample trial balance sheet, worked out by Mr. Parker, cashier of the Fort Slocum Exchange, is shown herewith.
After the ledger is balanced, we proceed to get out our monthly statement. If it is a case of an inspector, we can get all the data he needs by simply taking our statements since his last visit and combining the results shown by same.
| ACCOUNTS | Trial Balance | Balance of Balances | Loss & Gain | Assets and Liabilities | Cash Statement | |||||
|---|---|---|---|---|---|---|---|---|---|---|
| Dr. | Cr. | Dr. | Cr. | Dr. | Cr. | Dr. | Cr. | Dr. | Cr. | |
| Post Exchange | 336.50 | |||||||||
| Cash | 555.60 | 372.00 | 183.50 | 183.50 | ||||||
| Bills Rec. Charge Accts | 11.62 | 1.62 | 10.00 | 10.00 | ||||||
| ” ” E. M. Laundry | 16.00 | 16.00 | 16.00 | |||||||
| ” ” Credit Coupons | 100.00 | 100.00 | 100.00 | |||||||
| Bills Pay Merchandise | 4.00 | 4.00 | 4.00 | |||||||
| ” ” Check Account | 90.00 | 100.00 | 10.00 | 10.00 | ||||||
| Stock Room | .50 | .50 | ||||||||
| Athletics | 20.00 | 20.00 | 20.00 | 20.00 | ||||||
| Fixtures | 21.00 | 21.00 | 21.00 | 21.00 | ||||||
| Store | 11.50 | 280.55 | 269.05 | 269.05 | 250.00 | 11.00 | ||||
| Lunch | 67.72 | 211.27 | 204.55 | 204.55 | 170.00 | 6.00 | ||||
| Pool | 50.00 | 9.00 | 41.00 | 41.00 | 8.00 | 50.00 | ||||
| Barber | 67.00 | 17.00 | 50.00 | 50.00 | 14.00 | 67.00 | ||||
| Tailor | 46.65 | 59.00 | 12.35 | 12.35 | 46.00 | 43.00 | ||||
| Shoeshop | 35.75 | 35.00 | .50 | .05 | 29.00 | 35.00 | ||||
| Soda Fountain | 37.00 | 3.00 | 34.00 | 34.00 | 3.00 | 37.00 | ||||
| Skating | 14.50 | 4.60 | 9.00 | 9.90 | 4.60 | 14.00 | ||||
| Moving Pictures | 10.00 | 31.00 | 21.00 | 21.00 | 31.00 | 10.00 | ||||
| Laundry | 29.00 | 22.00 | 7.00 | 7.00 | 29.00 | |||||
| Interest and Discount | 17.60 | 17.60 | 17.60 | 17.00 | ||||||
| Office | 11.00 | 11.00 | 11.00 | 11.00 | ||||||
| Loss and gain | 336.50 | |||||||||
| TOTALS | 1151.44 | 1151.44 | 521.00 | 521.00 | 507.00 | 507.00 | 350.50 | 350.50 | 555.60 | 372.10 |
| 183.50 | ||||||||||
| Balance | 555.60 | 555.60 | ||||||||
The primary object of the monthly statement is to give the Exchange Council and the Commanding Officer a clear and concise understanding of the operations and financial standing of the Exchange. The statement, therefore, should be so simple in construction that it can be understood at a glance by anybody, regardless of their knowledge of book-keeping. Most statements submitted to Exchange Councils either show nothing or lead to a waste of time, due to the necessity for asking for explanations of obscure items. The statement should also contain such information as will be required by the Inspector. The form of statement here shown fulfils all of the above requirements and is a form approved by certified public accountants. It is divided into three parts, which will be discussed in their relative order.
This, Form 32, is shown in Fig. 31 and is almost self explanatory. Attention is invited to the scheme of segregating different classes of assets and of liabilities. A stock form of this nature would do for all Exchanges, regardless of their size, as there are sufficient blank lines to suit all requirements, but perhaps better satisfaction would be obtained if the form here shown be merely taken as a model and only those items be used as apply to the particular case in hand. Pains have been taken, in this form, to insert a sufficient number of entries to show clearly how any ordinary item should be handled.
Of course, the item, “Exchange building”, should be omitted if the building belongs to the Government and not to the Exchange. The item, “Cash Reserve”, covers the amount required by regulations to be set aside before dividends can be declared. Under the liabilities, there will ordinarily be no entries under “Funded Debt”; this entry merely shows how such items should be handled in case any should exist. “Commissions due” is the amount we owe for goods already sold on consignment; the same item under the assets refers to the amount due us for goods sold on consignment or commission. A declared dividend is a liability until it is paid. Outstanding coupons are also a liability. Under the deferred liabilities come any amounts that are payable at some future date, but are meanwhile bona fide debts owed by the Exchange. The term “Total Surplus” refers to the surplus at the end of the month in question, and, while not really a liability, it is put in this place in order to properly balance the account.
Figure 31, (Reduced in size)
Under this head, we show the changes in the net worth of the Exchange which have occurred during the month, this being, to all intents and purposes, a repetition of the Post Exchange Account in our general Ledger.
Under “Re-valuation”, take up any increase in the value of buildings or fixtures that may have occurred other than through the cash book (upon appraisal, for instance). Under “Adjustment”, take up any increase of amount owed us on any account, that is, if any account has been corrected during the month and the amount due us on this account has been increased, the amount of such increase should be taken up under the head in question. The net profits for the month are obtained from the Statement of Income and Profit and Loss, to be described later. All of the above items serve to increase our surplus or net worth, and hence, must be added to the net worth shown at the beginning of the month.
Under the deductions would come all amounts written off for depreciation; dividends actually paid; appropriations paid or put to the credit of any particular fund, such as the Athletic Fund; and all decreases in accounts owed us, caused by the adjustment of same.
After the above notations are made, the surplus at the end of the month is entered in the proper space in the general balance sheet. This surplus is the net worth of the Post Exchange, and should, of course, be equal to the balance of the Post Exchange account in the Ledger.
Figure 32, (Reduced in size)
This, Form 16, gives us a very clear and concise statement of the operations of all of our departments during the month. It is printed on the back of Form 32. It is filled in as follows:—
a Enter on the first line, the total sales for cash as shown by the footings of the respective debit columns in the cash book.
b On the second line, enter the total coupon sales of the various departments shown by the footings of the respective columns of Form 26 (Fig. 17).
c On the third line, enter the total charge sales made by each department as shown by the footings of the respective columns of Form 7 (Fig. 6).
d Add the above, both horizontally and vertically and see if the grand totals check.
e Enter on the fourth line all credits given during the month.
f Subtract e from d; the remainder shows the net sales made by each department during the month and should be entered in the proper spaces.
g Under “Inventory ... 1st”, is entered the cost price of all merchandise on hand in the various departments at the beginning of the month, which amounts are obtained from the Inventory Book or Inventory cards as before described.
h Under “Purchases” are entered the cost values of all merchandise sent to the various departments, that is, the difference between the footings of the Dr. and Cr. columns referring to each department on Form 13 (Cost Price). No cash discount is considered.
i Under “Labor”, charge each department with its proper share of the wages paid by the Exchange. If any employee divides his time between two or more departments, his wages should be distributed between said departments proportionately. Book-keeper’s wages should be charged to Office. To counterbalance this charge, some Exchanges credit all cash discounts to Office instead of taking them up under Other Income. This is entirely proper, as is also the procedure of crediting the Office with mail order profits, etc. In the usual case, there being no accrued wages, the figures for labor are taken from the Labor column in the cash book.
j Under “Maintenance”, transfer from the cash book all amounts paid out for
k Under “Board”, should be entered all amounts paid out for board of employees.
l Under “Expense”, enter the value of all expendable supplies issued to the various departments, such as paper bags, etc., or, as illustrated in the case of a Laundry, the cost of all soaps, starch, soda, etc.
m Add items (g) to (l), inclusive, and enter the totals on the proper line. Also, add the items horizontally and check the grand totals obtained by these two operations.
n Enter under “Deduct Inventory”, the cost price of all articles found on hand in the various departments at the end of the month.
o Subtract (n) from (m) and enter the respective remainders in the spaces for “Cost of Goods Sold”. Check these remainders vertically and horizontally.
p Subtract the Cost of Goods Sold from Net Sales and enter the remainders in the spaces for “Gross Profit”. Check results as before.
The lower part of this form is made out as follows:—
a Under “Cash Discounts” (unless credited to Office as before explained), enter the total of the Discounts column in the cash book.
b Cash in excess of daily checks is self explanatory.
c Under “Goods Sold on Consignment”, should be entered all such sales actually made during the month.
d Miscellaneous credits is self explanatory, being for such items as junk, receptacles sold, etc., as are not credited through the stock records.
e Entrance fees cover all payments by organizations joining the Exchange.
f Interest on Bank balances is self explanatory.
g Lost Accounts collected refers to amounts that have previously been dropped from the books as lost, but have afterwards been collected.
h Under “Income not otherwise accounted for”, is entered the amount that will make the books balance. As it is impracticable to give precise weights on bulk merchandise and as mistakes will sometimes occur, the books will never balance exactly and all discrepancies are thrown into this item. As an example, suppose we unintentionally give short weights on our sales of, say, crackers. At the end of the month, we will have more money on hand than our sales would call for, and such excess is taken up under this heading. If, as sometimes happens, there is a deficit (for example, caused by melting and wastage of ice) it should be taken up under the “General Expense” side of this form. It should be noted that this item cannot be filled in until the General Balance Sheet is made out.
i “Freight and Express Out” refers to transportation charges on goods returned to our creditors or sold to our customers.
j Under the item, “Insurance”, should be entered the total premiums paid out during the month, but not the pro-rata share that is charged off monthly.
k Under “Paid on Consignment”, should be entered the net amounts paid to our creditors for the goods sold by us.
l To the Total Gross Profit, add the total Other Income, from this amount, subtract the Total General Expense and the remainder is the net profit for the month; it should be carried to the Surplus and Adjustment part of the general balance sheet.
Figure 33, (Reduced in size)
A thoroughly satisfactory form for pay rolls is shown by Form 2 in Fig. 33. The Recapitulation at the bottom of the form is for the purpose of distributing the cost of labor among the various departments when we[88] make out our statement of income and profit and loss. If employees are not paid up to date, that is, if a part of their pay due is withheld, this form allows such information to be recorded. In some cases, it has been found practicable to pay off three times a month, especially in the case of civilian employees. In any case, all hands should be paid promptly at the last of the month, thus getting all of these wages out of the way and avoiding the necessity of any reversing entries or other expedients to show the real operations of the Exchange. If any wages due the employees are not paid by the end of the month, these amounts become “accrued wages” and must be carried as such.
This is done by some employee designated by the Exchange Officer; sometimes it is done by the Exchange Officer himself. It is sometimes prescribed by the Council that when organizations (shareholders in the Exchange) order articles not in stock, the selling price shall be actual cost to the Exchange of such articles. This cost would, of course, include any transportation charges, etc., that were incurred, but the Exchange would get the benefit of all cash discounts. It is also prescribed in some instances that persons not stockholders in the Exchange who order merchandise that is not in stock shall be charged a commission of 5%. Both of these rules are sound, because, in the first case, any profits made by the Exchange would simply revert in dividends to the organizations from which the profits were made, assuming that all organizations transacted the same amount of this kind of business. If they did not, it would still be unjust to penalize one company for patronizing the Exchange by taking from it money for distribution in dividends to other companies, regardless of the amount of patronage the latter gave the Exchange. The second rule is sound because the transaction is a quick sale, and the money of the Exchange is tied up in stock for the minimum length of time. The selling price in the above cases is, therefore, very easily determined.
In figuring out the selling price for the ordinary run of goods, the process, while different, is never very difficult. We must base our calculations on the smallest value used in coupon sales, except in the case of staples sold only to charge customers. Ordinarily, the smallest purchase that can be made with coupon books is five cents. We should, therefore, in every possible case, make our selling price a number divisible by 5. Cheap articles may be sold “2 for 5”, etc. It is a bad policy to sell articles for 4 or 9 cents and have the clerk hand back change when a coupon sale is made.
Articles that can be quickly and easily sold can be handled at a small margin of profit, but articles that may prove to be “stickers” or those representing a considerable investment should be made to pay a larger profit.
In this connection, the general policy of the Exchange may be made to take one of two trends. The first policy is to sell all articles at the minimum price consistent with making the Exchange self-supporting. In this case, the amounts paid to the organizations in dividends will be proportionately small, and consequently, the various companies will receive little money to spend on their messes, athletics, etc. This plan would be of considerable benefit to such customers of the Exchange as are not stockholders.
The other policy is to charge about the same prices as obtain in the stores of nearby towns. In some cases of isolated posts, the prices could be put even higher. This plan would result in larger dividends paid to the companies but might entail the loss of customers, especially in these days of mail-order and catalogue houses. This latter policy is upheld by many able authorities, especially since the passage of the “anti-canteen” law. According to one of the most able officers the writer has ever known, this policy was stated about as follows:—“We should charge as high a price as the traffic will stand. I do not want my men to spend their money in town, for obvious reasons. I want them to spend it where they themselves will get the benefit of the profits made on their purchases. Therefore, give them good value for their money—as good as they can get anywhere—but do not try for low prices and do make the Exchange so attractive that they will naturally gather there and patronize it.”
In view of the above facts, and knowing the general policy of the Exchange it is not difficult in the ordinary case, to fix a selling price for our goods. We simply add the cost of transportation to the cost price of the goods, add the desired profit and this gives us our approximate selling price. In some Exchanges, other items of overhead charges, such as clerk hire, depreciation, etc., are taken into consideration in fixing the selling price. There should be ample space in the right hand columns of Form 28, the receiving record, in which to figure the selling prices.
One of the results to be tried for in every Exchange is QUICK SALES. It is a serious mistake to keep money tied up in stock any longer than is absolutely necessary. A vivid illustration of this point is obtained by taking the case of, say, an Italian banana vendor on the street. Let us assume that he buys a bunch of bananas in the morning for $1.00. We may rest assured that he will have sold out by evening; it is a certainty; he is too good a merchant to do otherwise. Even supposing that he had a bad day, and was compelled to close out part of his stock in the evening at cut prices, he will have realized anywhere from $1.50 to $2.00 on his sales, thus giving him from 25% to 50% gross profit. At this rate, he will turn over his capital at least 25 times during one month, thus transacting a total amount of business 25 times greater than his actual net resources, and securing a profit equivalent to that of the greater amount. This is the ideal toward which the Exchange should strive.
In this connection, do not state your profits as a percentage of the COST price of your goods, but of the SELLING price. In other words, if an article costs the Exchange $10.00, do not add one dollar to this for the selling price and then imagine your profits will be 10% of your sales.[91] If you desire 10% profit, then the cost must constitute 90% and you must sell the article for $11.11 in order to make 10% on the sale. Take a pencil and figure it yourself. A very good talk on this subject (and many others of interest) is given in “A Better Day’s Profits”, published by the Burroughs Adding Machine Company.
Another most excellent book containing many hints which would prove of value to any Exchange Officer is one entitled, “Where Have My Profits Gone?”, published by the American Sales Book Company of Elmira, New York.
Many Exchanges run laundries and while no attempt will be made here to show how a laundry should be handled, it is thought proper to explain how the books should be kept. The handling of actual laundry work can be learned only by experience and it is an exceedingly difficult task to prevent a flood of complaints unless careful supervision and checking is in force.
As far as the Post Exchange Books are concerned, the Laundry need furnish but three items:—
(1) The amount owed by each customer for laundry work done during the month.
(2) The total value of expendable articles on hand at the end of each month. (Inventory.)
(3) The data for paying the wages of employees.
Any other records that may be kept are for the information of the Laundry management, and are not essential to the proper running of the Exchange. The above three headings will be discussed in turn.
The methods used in the case of enlisted men differ from those used in the case of Officers and others of like classification; the former is rate work and the latter is piece work. The former will be explained first.
The system about to be explained hinges about the Laundry List, Form 20, shown in Fig. 34. These are 5 × 8 inches in size, made up in pads of 100, fifty originals printed in black ink on white paper and fifty duplicates printed in red on white paper. Thus, each book or pad will last one man about one year. Each original and duplicate are on the same piece of paper, folded at the bottom and the lower (duplicate) forms are bound by their top edges, a piece of carbon paper being bound into each pad so as to fall between the two copies. A glance at a “Paragon” style of duplicating sales book will show clearly how this simple arrangement works. The backs of all sheets should be fairly well covered with advertising or other matter in order to prevent persons from ekeing out their supply of stationery by using these forms. If desired, the instruction shown on the face of the blank in the illustration could be placed on the back instead. In quantities of 1,000 or so, these books should cost in the neighborhood of 7 cents apiece.
Figure 34, (Reduced in size)
With this arrangement, each man makes out two copies of his laundry list with as little trouble as he formerly made out his single copy. The[94] amount of clerical labor which this simple expedient obviates is simply enormous. It makes the system practically automatic and saves labor costs in the Laundry. The man puts both copies of his list in his bag of laundry, and the laundry wagon calls at the company at the proper time and collects same. The bag of wash is given to the “Marker”, who checks off on the duplicate slip, all wash found in the bag. If everything is right, the marker places the duplicate slip in a sorting tray, and lays the original aside to be filed. If the list contains a mistake, the whole bundle is immediately placed aside and is not touched until the owner has been sent for, his mistake explained to him, and he has personally corrected both copies of the list. This not only prevents controversies, but, also, makes the men careful in making out their lists in order to avoid the necessity of visiting the laundry to correct their lists.
In case any article is damaged when received at the laundry, it is examined to see if it is properly marked, and then placed aside for the inspection of the Officer in charge. This point will be touched upon later.
The duplicate lists remain in the sorting tray behind numbered guides until the time comes to sort out the finished wash of the organization to which the slips belong. When “marking in”, the marker either uses the space “MARKING O. K.” provided for the purpose, or, as is usually the case, we depend upon the personal check mark she places opposite each item on the list. This marking is done on the duplicate list only.
When the finished wash is sorted, preparatory to delivery, the sorter makes another check mark (different from the first one) opposite each item that is put in the batch. No batch is allowed to go out with a shortage if it can possibly be avoided; if any article is held for re-washing, it is rushed through “special” and the whole bundle belonging to that particular man is held back to wait for it. This prevents the laundry from acquiring garments belonging to customers. If this is not done, a receipt for the shortage should be delivered to the customer with his wash, and a duplicate kept as a sort of tickler, to insure the missing articles being put in the next batch of washing received from and done up for that customer.
The original slips are inserted in alphabetical order in loose-leaf binders, one binder for each organization. These binders should have a 2 inch back in order to hold one month’s slips conveniently. They form our retained record and are invaluable in case of disputes. The duplicates are given to the men when they come for their wash. While it is a great convenience to the men to be permitted to get the wash of their friends, at times, it has been found that this privilege is abused. In such a case,[95] each man may be compelled to come for his own wash, which will be found to have a salutary effect. Ordinarily, it is sufficient to tear off the top of the duplicate slips at the time of delivery, thus showing that the wash has been called for and delivered.
At the beginning of each month, each organization makes out a list of the men in the company, a carbon copy of Form 25 is the easiest to furnish. On the first day upon which any organization sends wash to the laundry, some designated N.C.O. of that organization marks in the first blank column opposite each man’s name, information as to whether or not he sent laundry on that date. Such entries would be “YES” (by using a rubber stamp) if the man sent laundry; “S”, if he did not, through being sick in hospital; “A”, meaning temporarily absent; “D”, meaning discharged, etc. When the batches of wash belonging to this organization are received at the laundry and each bundle or batch has been checked as before described, the entries on the consolidated list are checked against the original laundry slips as the latter are being placed in the binders. This is to insure the correctness of the consolidated list. After this is done, the consolidated list is returned to the organization, and the above operations are repeated upon every succeeding wash-day during the month.
At the end of the month, all extras, such as charges for pressing uniforms, excessive number of pieces in wash, etc., are charged up on the original lists, the totals for the month found by mental addition and said total entered on the last original list for the month pertaining to each man, also, if desired, but only for cogent reasons, on the consolidated list. These totals are then sent to the Post Exchange for incorporation in the pay table collection sheet. If the binders are taken to the Exchange, the totals can be read from them without the necessity of entering these totals on the consolidated list at all. At this time, all of the original lists are lifted from their binders, temporarily bound with twine, and sent to the Exchange for file until the bills are paid, when they may be destroyed.
In this case, a different list is used. See Form 21, shown in Fig. 35. These lists are made up into duplicating pads just the same as the soldiers’ laundry lists, and are handled in exactly the same manner, except that no consolidated list is kept. They measure 5 × 8 inches, like the others. At the end of the month, the amount of laundry bills on each retained original list is carried forward and the total entered on the last slip. These totals are then transferred to the Charge Accounts Book previously described. (Tearing a half inch off the upper right hand corner of all but the last slip for the month for each customer makes the binder self-indexing.)
Figure 35, (Reduced in size)
The above shows how all amounts due the laundry are transferred to the Exchange books, but there are one or two points in this connection that deserve at least a passing notice. The first of these is the
This, Form 24, shown in Fig. 36, should be made up in the form of a duplicating pad, 3 × 5 inches being a standard size. One copy of this form, preferably, the original, is retained in the book or filed in a card index drawer; the duplicate is returned to the proper customer with his wash in which the damaged articles were found. As before noted, when damaged clothing is found in any wash during the “marking in” process, the damaged articles are placed aside. They are then entered on this form, inspected by the officer in charge, or person designated by him, and then sent through the wash.
Figure 36, (Reduced in size)
When a claim for damages, loss, etc., is settled in favor of the claimant a report should be made on Form 22 (See Fig. 37), to the Post Exchange. This form should be made up in triplicating pads, one copy for the Exchange book-keeper; another, plainly stamped “duplicate”, for the claimant, and a third to be retained by the Laundry, either in the book or in a card index drawer, preferably the latter.
Figure 37, (Reduced in size)
These are taken in the same general way as in other branches of the Exchange except that the cost price alone is considered. When finished, the totals shown by the various cards are added on the machine and the result given to the Exchange book-keeper in order to permit him to make out the profit and loss sheet. The cards are filed in a card index drawer until they are used up, when they may be transferred to a dead file.
These are handled in exactly the same manner as the Exchange pay roll. They may be made out separately by the Laundry authorities or incorporated in the regular Exchange roll. In any case, they should be made[99] out from the time book kept by the Laundry superintendent. The accuracy of this book should be checked frequently in the usual ways.
In addition to the above, the laundry should keep accurate track of the amounts spent in repairs or renewals of each machine or component part of the laundry. In the inventory book should be entered a proper rate of depreciation against each machine, etc., and this depreciation should be written off periodically by the Exchange Council, say once per year. Then, if any organization wishes to sell out or to buy in, it will be a simple matter to arrive at a proper valuation of the laundry and its fixtures.
There should be on hand blueprints of the laundry building, showing dimensions and details of construction. There should also be on hand a complete diagram of all the steam and water pipes, connections, valves, etc.
For cost-keeping, which would be desirable if it can be done conveniently without adding too much cost, other records would have to be kept. The Baker-Vawter Company has given this point special attention and have devised a system which is used by many members of the Laundryman’s National Association.
It is not too much to say that the monthly audit of the Exchange books is usually done poorly and inefficiently. This is due to several causes. In the first place, very few officers have ever had experience fitting them for such a task, and still fewer have any liking for the operation. The average audit consists of counting the cash and seeing if the vouchers to the cash account are correct, but a proper audit is something different. The Council should expect, as a result of the audit, a clear statement of the status of the Exchange together with recommendations for improvement and reports of any irregularities, etc. An auditing officer who spends his time finding out whether or not the books contain any mistakes in addition is not performing his proper functions as auditor.
Reduced to its simplest terms the duties of an auditor may be expressed as finding the correct answers to the following:—
(a) Were all assets on hand as shown?
(b) Were there any assets not shown?
(c) Were all the liabilities real ones?
(d) Were all liabilities shown?
(e) Were all liabilities properly incurred?
(f) Were all earnings accounted for?
(g) Were any earnings omitted from the statement?
(h) Were all disbursements, expenses and losses properly stated and supported?
In the following pages an attempt will be made to lay down a system of procedure which will enable the auditor to secure proper answers to the above questions in the most expeditious manner. For this purpose, the use of Form 33, shown below, is recommended. They should be on sheets conforming in size and punching to those used in the book used for recording the proceedings of the Exchange Council. This remark also applies to Forms 16 and 32, previously described.
Form No. 33.
STATEMENT OF AUDIT OF POST EXCHANGE, FORT HANCOCK, N. J.
For the month ending March 31, 1915.
I certify that the cash balance of the Post Exchange, Fort Hancock, N. J., on the 31st day of March, 1915, was three thousand five hundred forty-two dollars and seventy-six cents ($3,542.76) and was held as follows:—
| Second National Bank, New York City | $3,000.00 |
| In Office Safe | 542.76 |
| TOTAL | $3,542.76 |
(Signed) E. A. Brown,
1st Lieut., C. A. C., Exchange Officer.
AUDITOR’S STATEMENT.
1. Charge Accounts:—
Take retained sales slips for at least three different days and select, at random, at least five sales on each. Are these sales entered on Form 9?... Compare several consecutive sales on each day’s record with adding machine and cash register strips.... Are the totals for each of these days entered on the Steward’s daily report, Form 4?... Are these entries on Form 4 supported by clerks’ reports, Form 5, for same totals?... Are the total charge sales on Form 4 correctly transferred to the daily summary shown on Form 7?... Do they check with Form 6?... Has the Bills Receivable account in the Ledger been debited with the total shown on Form 7?... Have amounts shown on Form 7 been credited to the various departments in the Ledger?... Have all credits been entered on Form 6?... Are[101] they charged against the various departments?... Are they credited to Bills Receivable?... Are they noted on Form 4?... In separate list, show what bills have been due the Exchange for more than one month.
2. Cash Sales:—
Take the clerks’ reports for the above selected days: are the cash sales and coupon sales shown thereon properly entered on the Steward’s daily report, Form 4?... Do Forms 4 agree with the cash register records?... Are entries on Form 4 correctly transferred to the cash book?... Are totals of department columns in cash book correctly posted to the accounts of the respective departments in the Ledger?...
3. Coupon Sales:—
Do the total coupons sales shown on Form 4 for the selected days agree with the cash register records for these days?... Are entries on Form 4 correctly posted to Form 26?... Are total coupon sales for each department shown on Form 26 credited to these departments in the Ledger?... Are total coupon sales debited to Check Account in the Ledger?... Are coupon books on hand safely stored?... Are they correctly accounted for?... What value of coupons issued during the month of which there is no record?... Are total coupons issued during the month correctly credited to Check Account in the Ledger?... Are they properly debited against Bills Receivable, Credit Coupons?... Is there any ground for believing the stated value of coupons outstanding to be erroneous?... Any complaints from men that they are erroneously charged for coupons?... Is total cash received for coupons (shown in cash book) credited in Ledger to Bills Receivable, Credit Coupons?... Deduct from the total coupons entered on all Forms 25 the amounts shown in cash book as received for coupons; is the remainder properly supported by unpaid Forms 19?... Have these unpaid amounts been properly entered on Forms 25 for next pay day?... What efforts made to collect payments on coupons past due?...
4. Stock Records:—
Perform or check the following operations on the record of Stock Transactions, Form 27, at selling price:—To inventories at first of month add all stock received during the month, subtract from this the inventory at the end of the month. The remainder should equal the total sales from the respective departments during the month. Any marked discrepancies should be brought to the attention of the Council immediately. (Initials)... Check several copies of Form 28 against corresponding invoices and against Purchase Record; do they agree?... Are these values correctly transferred to Forms 17, BOTH at cost and at selling prices?... Are these Forms 17 correctly transferred to Form 27?... Are totals on Form 27 properly charged against the various departments in the Ledger and on the Statement?... Are inventories entered properly in each department’s account in the Ledger?... Under whose supervision was stock taken at the last of the month?... Are results of inventory correctly noted on Statement?... Are all wastages, accidental breakages, etc., entered on the stock records and[102] properly supported?... Are windows and doors of Exchange provided with efficient locks?... Are all civilian employees under bond?... Are the stock records kept up to date?...
5. Purchases:—
Check Purchase Record against the Cash Book; do entries correspond?... From “Total Purchases” subtract “Creditors” column in cash book; does the remainder check with the balance shown in the Bills Payable, Merchandise (or Creditors) account in the Ledger; ... with the credit balance shown on the Purchase Record?... Are all bills discounted?... If not, is there any excuse for it?... Who makes purchases?
6. Cash Book:—
Check all vouchers against cash book disbursements. Were all expenditures proper ones?... If not, give particulars under remarks.
(a) The following vouchers not rec’d back....
(b) Vouchers not supported by canceled checks....
(c) Nos. of outstanding checks....
(d) Total value of same.... (e) Cash found on hand at end of month....
(f) Cash in bank at end of month, per bank statement.... Does total of (d), (e) and (f) agree with Statement?... Look up items (a), (b) and (c) mentioned in preceding audit, are they now complete?... State items lacking.... Does Exchange Officer keep the cash book himself?... Does he attend personally to all cash transactions?... Does any employee have access to the cash after it is turned over to the Exchange Officer?... Cash reserve is $....
7. Ledger:—
Inspect trial balance; is it correct and does the Ledger balance?... Is the system being rigidly adhered to?... Report to the Council any omissions or faults found in the manner of keeping the books.
8. Statements and Balance Sheets:—
Check all items on Statement of Income and Profit and Loss against the original entries; do they agree?... What earnings cannot be accounted for?... What earnings are not taken up on the books?... Check all entries on General Balance Sheet against the original entries; do they agree?... Are any assets left off the books?... Were all assets actually on hand as shown?... Are any liabilities left off the books?... Among the liabilities shown, are there any which are not real obligations of the Exchange?...
9. General:—
Is copy of Steward’s Report posted for information of customers?... Any books or papers which should be destroyed?... Any recommendations?... If so, submit them to Council in separate report. Remarks....
(Signed) ....
Captain, C. A. C., Auditor.
In Post Exchange business, these machines are ordinarily used in recording all sales, although some Exchanges do not ring up their charge sales, but rely upon the sales slip alone, an unsafe practice. There is, besides, a saving in ringing up all sales. These machines, if properly handled, and used in conjunction with our stock records at selling price should amply protect the Exchange.
In order to secure the maximum benefit from a cash register, however, it should be suited to the work in hand. Many registers handle but two kinds of sales, charge and cash; but we have a third kind, coupon sales, and the registers in use by every department which handles all three kinds should be arranged for such work. This kind of a register has three separate adding mechanisms, the appropriate set being thrown into mesh by means of a movable clutch and indicator at the left of the keyboard. In ringing up each sale, the clerk sets the indicator at “cash”, “coupons” or “charge”, as the case may be, before turning the handle; the total sales of any kind can be read at any time by anyone possessing the key which unlocks the reading window. Thus, the Steward, at the close of business on any day, can ascertain these totals in a few seconds, instead of having to transfer them from the cash register record tape to the adding machine. Thus, considerable time and labor are saved.
We should also be able to tell which clerk made every sale. This is accomplished by having a separate push button for every clerk and requiring the clerks to punch the proper button before ringing up their sale. The record tape of the machine will then show the full particulars of every sale—how much it was, what kind of a sale it was and who made it.
The size of the keyboard is determined by the probable value of the largest sale. In departments where there can be but two different kinds of sales, say charge and cash, a machine without the movable clutch can be used.
A modern development of the cash register is the “Slip Printing” device. By this, we mean the printing of the amount of sale on the sales slip itself, instead of on the “chop ticket”. In our system of recording charge sales, where the customer is given a copy of the sales slip, it is unnecessary for him to have the chop ticket, too, but it is necessary for us to know that his sales slip calls for the same amount that has been rung up on the register. For this purpose, the register can and should be arranged for “Slip Printing”, that is, for printing directly on the sales slip whatever amount is rung up on the register. This arrangement can be made without[104] extra cost in the case of a new machine. The sales slip then handed to the customer then shows him exactly what amount was rung up on the register. The slip shown in Fig. 1 was treated in this way, although the slip was not originally designed for this work. Another slip is shown in Fig. 38. A cash register embodying the above described characteristics is shown in Fig. 39.
Figure 38, (Reduced in size)
Figure 39
It is apparent that if we can be sure that all sales are rung up on the register the Exchange can suffer no loss except by persons taking stock from the shelves, a proposition which is cared for by our stock records. Therefore, it is important to devise means for insuring that every sale is properly rung up. There are various means to this end. One is to provide a series of locked boxes, one for each organization at the post, each[106] provided with a slit in the cover large enough to admit a chop ticket. These boxes to be plainly labelled with the designation of the respective organizations, and all customers to be instructed to drop their chop tickets into these boxes. Whenever dividends are declared, a certain proportion of same to be divided in the same proportion as exists among the total values of the tickets in the various boxes. Unless these tickets are counted by a committee from the various organizations, this scheme would entail considerable clerical work for the Exchange office force. The scheme practically amounts to distributing a part of the dividend according to the amount of business done by the respective organizations—a necessity in the rare case when one or more organizations boycott the Exchange. It is said that the members of the various organizations soon become efficient agents in promoting the practice of customers demanding the chop tickets from the clerks.
Another scheme is for the Exchange Officer to inspect the serial numbers of the sales recorded for a certain time, say one month, and to arbitrarily select some one of these numbers, publish a notice concerning same, and to present to the person who produces the chop ticket bearing that number, a credit at the Exchange of $5.00 or so. The Exchange could easily afford to do this, as the advantages accruing from having every sale rung up will more than counterbalance this small expenditure. Other devices will readily suggest themselves to those who are interested in the subject.
The Steward should, of course, keep accurate track of the readings of the various dials of the registers. Cash register companies issue books for this purpose. The keys to the registers should be jealously guarded, including those to the reading windows. A record should be kept of the readings of those dials which show how many times the lid of the register has been opened.
In leaving this subject, a further discussion of which is necessarily curtailed, it will be well to add that the best way to get satisfaction in this line is to write to the firm whose register you intend buying and ask them to send you their local representative and such descriptive literature as they may have at hand. It will then be an easy matter to secure a machine exactly suited to the needs of the case.
In the foregoing pages, the writer has attempted to outline a system of record-keeping for our Post Exchanges that is at once simple and efficient, complying with the desiderata set forth in the opening pages. No contention[107] is made that the system is perfect and incapable of improvement; but it is the best that the writer has seen in twelve years’ experience with Post Exchanges. It is hoped that it will at least prove worthy of being taken under advisement by most Post Exchanges and many of its points put into practice. Strenuous efforts have been made to explain the system in such simple language that the average employee of an Exchange could install and operate it, without the necessity of the Exchange Officer devoting his personal efforts to it. An effort has also been made to simplify matters for the Exchange Council and for officers detailed to audit the accounts, to show what points are important and what are not, how to secure a clear idea of what the business is actually doing in all its branches, and how to prevent leaks.
THE END.
End of the Project Gutenberg EBook of Post Exchange Methods, by Paul D. Bunker
*** END OF THIS PROJECT GUTENBERG EBOOK POST EXCHANGE METHODS ***
***** This file should be named 59016-h.htm or 59016-h.zip *****
This and all associated files of various formats will be found in:
http://www.gutenberg.org/5/9/0/1/59016/
Produced by Donald Cummings, Adrian Mastronardi, The
Philatelic Digital Library Project at http://www.tpdlp.net
and the Online Distributed Proofreading Team at
http://www.pgdp.net (This file was produced from images
generously made available by The Internet Archive/American
Libraries.)
Updated editions will replace the previous one--the old editions will
be renamed.
Creating the works from print editions not protected by U.S. copyright
law means that no one owns a United States copyright in these works,
so the Foundation (and you!) can copy and distribute it in the United
States without permission and without paying copyright
royalties. Special rules, set forth in the General Terms of Use part
of this license, apply to copying and distributing Project
Gutenberg-tm electronic works to protect the PROJECT GUTENBERG-tm
concept and trademark. Project Gutenberg is a registered trademark,
and may not be used if you charge for the eBooks, unless you receive
specific permission. If you do not charge anything for copies of this
eBook, complying with the rules is very easy. You may use this eBook
for nearly any purpose such as creation of derivative works, reports,
performances and research. They may be modified and printed and given
away--you may do practically ANYTHING in the United States with eBooks
not protected by U.S. copyright law. Redistribution is subject to the
trademark license, especially commercial redistribution.
START: FULL LICENSE
THE FULL PROJECT GUTENBERG LICENSE
PLEASE READ THIS BEFORE YOU DISTRIBUTE OR USE THIS WORK
To protect the Project Gutenberg-tm mission of promoting the free
distribution of electronic works, by using or distributing this work
(or any other work associated in any way with the phrase "Project
Gutenberg"), you agree to comply with all the terms of the Full
Project Gutenberg-tm License available with this file or online at
www.gutenberg.org/license.
Section 1. General Terms of Use and Redistributing Project
Gutenberg-tm electronic works
1.A. By reading or using any part of this Project Gutenberg-tm
electronic work, you indicate that you have read, understand, agree to
and accept all the terms of this license and intellectual property
(trademark/copyright) agreement. If you do not agree to abide by all
the terms of this agreement, you must cease using and return or
destroy all copies of Project Gutenberg-tm electronic works in your
possession. If you paid a fee for obtaining a copy of or access to a
Project Gutenberg-tm electronic work and you do not agree to be bound
by the terms of this agreement, you may obtain a refund from the
person or entity to whom you paid the fee as set forth in paragraph
1.E.8.
1.B. "Project Gutenberg" is a registered trademark. It may only be
used on or associated in any way with an electronic work by people who
agree to be bound by the terms of this agreement. There are a few
things that you can do with most Project Gutenberg-tm electronic works
even without complying with the full terms of this agreement. See
paragraph 1.C below. There are a lot of things you can do with Project
Gutenberg-tm electronic works if you follow the terms of this
agreement and help preserve free future access to Project Gutenberg-tm
electronic works. See paragraph 1.E below.
1.C. The Project Gutenberg Literary Archive Foundation ("the
Foundation" or PGLAF), owns a compilation copyright in the collection
of Project Gutenberg-tm electronic works. Nearly all the individual
works in the collection are in the public domain in the United
States. If an individual work is unprotected by copyright law in the
United States and you are located in the United States, we do not
claim a right to prevent you from copying, distributing, performing,
displaying or creating derivative works based on the work as long as
all references to Project Gutenberg are removed. Of course, we hope
that you will support the Project Gutenberg-tm mission of promoting
free access to electronic works by freely sharing Project Gutenberg-tm
works in compliance with the terms of this agreement for keeping the
Project Gutenberg-tm name associated with the work. You can easily
comply with the terms of this agreement by keeping this work in the
same format with its attached full Project Gutenberg-tm License when
you share it without charge with others.
1.D. The copyright laws of the place where you are located also govern
what you can do with this work. Copyright laws in most countries are
in a constant state of change. If you are outside the United States,
check the laws of your country in addition to the terms of this
agreement before downloading, copying, displaying, performing,
distributing or creating derivative works based on this work or any
other Project Gutenberg-tm work. The Foundation makes no
representations concerning the copyright status of any work in any
country outside the United States.
1.E. Unless you have removed all references to Project Gutenberg:
1.E.1. The following sentence, with active links to, or other
immediate access to, the full Project Gutenberg-tm License must appear
prominently whenever any copy of a Project Gutenberg-tm work (any work
on which the phrase "Project Gutenberg" appears, or with which the
phrase "Project Gutenberg" is associated) is accessed, displayed,
performed, viewed, copied or distributed:
This eBook is for the use of anyone anywhere in the United States and
most other parts of the world at no cost and with almost no
restrictions whatsoever. You may copy it, give it away or re-use it
under the terms of the Project Gutenberg License included with this
eBook or online at www.gutenberg.org. If you are not located in the
United States, you'll have to check the laws of the country where you
are located before using this ebook.
1.E.2. If an individual Project Gutenberg-tm electronic work is
derived from texts not protected by U.S. copyright law (does not
contain a notice indicating that it is posted with permission of the
copyright holder), the work can be copied and distributed to anyone in
the United States without paying any fees or charges. If you are
redistributing or providing access to a work with the phrase "Project
Gutenberg" associated with or appearing on the work, you must comply
either with the requirements of paragraphs 1.E.1 through 1.E.7 or
obtain permission for the use of the work and the Project Gutenberg-tm
trademark as set forth in paragraphs 1.E.8 or 1.E.9.
1.E.3. If an individual Project Gutenberg-tm electronic work is posted
with the permission of the copyright holder, your use and distribution
must comply with both paragraphs 1.E.1 through 1.E.7 and any
additional terms imposed by the copyright holder. Additional terms
will be linked to the Project Gutenberg-tm License for all works
posted with the permission of the copyright holder found at the
beginning of this work.
1.E.4. Do not unlink or detach or remove the full Project Gutenberg-tm
License terms from this work, or any files containing a part of this
work or any other work associated with Project Gutenberg-tm.
1.E.5. Do not copy, display, perform, distribute or redistribute this
electronic work, or any part of this electronic work, without
prominently displaying the sentence set forth in paragraph 1.E.1 with
active links or immediate access to the full terms of the Project
Gutenberg-tm License.
1.E.6. You may convert to and distribute this work in any binary,
compressed, marked up, nonproprietary or proprietary form, including
any word processing or hypertext form. However, if you provide access
to or distribute copies of a Project Gutenberg-tm work in a format
other than "Plain Vanilla ASCII" or other format used in the official
version posted on the official Project Gutenberg-tm web site
(www.gutenberg.org), you must, at no additional cost, fee or expense
to the user, provide a copy, a means of exporting a copy, or a means
of obtaining a copy upon request, of the work in its original "Plain
Vanilla ASCII" or other form. Any alternate format must include the
full Project Gutenberg-tm License as specified in paragraph 1.E.1.
1.E.7. Do not charge a fee for access to, viewing, displaying,
performing, copying or distributing any Project Gutenberg-tm works
unless you comply with paragraph 1.E.8 or 1.E.9.
1.E.8. You may charge a reasonable fee for copies of or providing
access to or distributing Project Gutenberg-tm electronic works
provided that
* You pay a royalty fee of 20% of the gross profits you derive from
the use of Project Gutenberg-tm works calculated using the method
you already use to calculate your applicable taxes. The fee is owed
to the owner of the Project Gutenberg-tm trademark, but he has
agreed to donate royalties under this paragraph to the Project
Gutenberg Literary Archive Foundation. Royalty payments must be paid
within 60 days following each date on which you prepare (or are
legally required to prepare) your periodic tax returns. Royalty
payments should be clearly marked as such and sent to the Project
Gutenberg Literary Archive Foundation at the address specified in
Section 4, "Information about donations to the Project Gutenberg
Literary Archive Foundation."
* You provide a full refund of any money paid by a user who notifies
you in writing (or by e-mail) within 30 days of receipt that s/he
does not agree to the terms of the full Project Gutenberg-tm
License. You must require such a user to return or destroy all
copies of the works possessed in a physical medium and discontinue
all use of and all access to other copies of Project Gutenberg-tm
works.
* You provide, in accordance with paragraph 1.F.3, a full refund of
any money paid for a work or a replacement copy, if a defect in the
electronic work is discovered and reported to you within 90 days of
receipt of the work.
* You comply with all other terms of this agreement for free
distribution of Project Gutenberg-tm works.
1.E.9. If you wish to charge a fee or distribute a Project
Gutenberg-tm electronic work or group of works on different terms than
are set forth in this agreement, you must obtain permission in writing
from both the Project Gutenberg Literary Archive Foundation and The
Project Gutenberg Trademark LLC, the owner of the Project Gutenberg-tm
trademark. Contact the Foundation as set forth in Section 3 below.
1.F.
1.F.1. Project Gutenberg volunteers and employees expend considerable
effort to identify, do copyright research on, transcribe and proofread
works not protected by U.S. copyright law in creating the Project
Gutenberg-tm collection. Despite these efforts, Project Gutenberg-tm
electronic works, and the medium on which they may be stored, may
contain "Defects," such as, but not limited to, incomplete, inaccurate
or corrupt data, transcription errors, a copyright or other
intellectual property infringement, a defective or damaged disk or
other medium, a computer virus, or computer codes that damage or
cannot be read by your equipment.
1.F.2. LIMITED WARRANTY, DISCLAIMER OF DAMAGES - Except for the "Right
of Replacement or Refund" described in paragraph 1.F.3, the Project
Gutenberg Literary Archive Foundation, the owner of the Project
Gutenberg-tm trademark, and any other party distributing a Project
Gutenberg-tm electronic work under this agreement, disclaim all
liability to you for damages, costs and expenses, including legal
fees. YOU AGREE THAT YOU HAVE NO REMEDIES FOR NEGLIGENCE, STRICT
LIABILITY, BREACH OF WARRANTY OR BREACH OF CONTRACT EXCEPT THOSE
PROVIDED IN PARAGRAPH 1.F.3. YOU AGREE THAT THE FOUNDATION, THE
TRADEMARK OWNER, AND ANY DISTRIBUTOR UNDER THIS AGREEMENT WILL NOT BE
LIABLE TO YOU FOR ACTUAL, DIRECT, INDIRECT, CONSEQUENTIAL, PUNITIVE OR
INCIDENTAL DAMAGES EVEN IF YOU GIVE NOTICE OF THE POSSIBILITY OF SUCH
DAMAGE.
1.F.3. LIMITED RIGHT OF REPLACEMENT OR REFUND - If you discover a
defect in this electronic work within 90 days of receiving it, you can
receive a refund of the money (if any) you paid for it by sending a
written explanation to the person you received the work from. If you
received the work on a physical medium, you must return the medium
with your written explanation. The person or entity that provided you
with the defective work may elect to provide a replacement copy in
lieu of a refund. If you received the work electronically, the person
or entity providing it to you may choose to give you a second
opportunity to receive the work electronically in lieu of a refund. If
the second copy is also defective, you may demand a refund in writing
without further opportunities to fix the problem.
1.F.4. Except for the limited right of replacement or refund set forth
in paragraph 1.F.3, this work is provided to you 'AS-IS', WITH NO
OTHER WARRANTIES OF ANY KIND, EXPRESS OR IMPLIED, INCLUDING BUT NOT
LIMITED TO WARRANTIES OF MERCHANTABILITY OR FITNESS FOR ANY PURPOSE.
1.F.5. Some states do not allow disclaimers of certain implied
warranties or the exclusion or limitation of certain types of
damages. If any disclaimer or limitation set forth in this agreement
violates the law of the state applicable to this agreement, the
agreement shall be interpreted to make the maximum disclaimer or
limitation permitted by the applicable state law. The invalidity or
unenforceability of any provision of this agreement shall not void the
remaining provisions.
1.F.6. INDEMNITY - You agree to indemnify and hold the Foundation, the
trademark owner, any agent or employee of the Foundation, anyone
providing copies of Project Gutenberg-tm electronic works in
accordance with this agreement, and any volunteers associated with the
production, promotion and distribution of Project Gutenberg-tm
electronic works, harmless from all liability, costs and expenses,
including legal fees, that arise directly or indirectly from any of
the following which you do or cause to occur: (a) distribution of this
or any Project Gutenberg-tm work, (b) alteration, modification, or
additions or deletions to any Project Gutenberg-tm work, and (c) any
Defect you cause.
Section 2. Information about the Mission of Project Gutenberg-tm
Project Gutenberg-tm is synonymous with the free distribution of
electronic works in formats readable by the widest variety of
computers including obsolete, old, middle-aged and new computers. It
exists because of the efforts of hundreds of volunteers and donations
from people in all walks of life.
Volunteers and financial support to provide volunteers with the
assistance they need are critical to reaching Project Gutenberg-tm's
goals and ensuring that the Project Gutenberg-tm collection will
remain freely available for generations to come. In 2001, the Project
Gutenberg Literary Archive Foundation was created to provide a secure
and permanent future for Project Gutenberg-tm and future
generations. To learn more about the Project Gutenberg Literary
Archive Foundation and how your efforts and donations can help, see
Sections 3 and 4 and the Foundation information page at
www.gutenberg.org
Section 3. Information about the Project Gutenberg Literary Archive Foundation
The Project Gutenberg Literary Archive Foundation is a non profit
501(c)(3) educational corporation organized under the laws of the
state of Mississippi and granted tax exempt status by the Internal
Revenue Service. The Foundation's EIN or federal tax identification
number is 64-6221541. Contributions to the Project Gutenberg Literary
Archive Foundation are tax deductible to the full extent permitted by
U.S. federal laws and your state's laws.
The Foundation's principal office is in Fairbanks, Alaska, with the
mailing address: PO Box 750175, Fairbanks, AK 99775, but its
volunteers and employees are scattered throughout numerous
locations. Its business office is located at 809 North 1500 West, Salt
Lake City, UT 84116, (801) 596-1887. Email contact links and up to
date contact information can be found at the Foundation's web site and
official page at www.gutenberg.org/contact
For additional contact information:
Dr. Gregory B. Newby
Chief Executive and Director
gbnewby@pglaf.org
Section 4. Information about Donations to the Project Gutenberg
Literary Archive Foundation
Project Gutenberg-tm depends upon and cannot survive without wide
spread public support and donations to carry out its mission of
increasing the number of public domain and licensed works that can be
freely distributed in machine readable form accessible by the widest
array of equipment including outdated equipment. Many small donations
($1 to $5,000) are particularly important to maintaining tax exempt
status with the IRS.
The Foundation is committed to complying with the laws regulating
charities and charitable donations in all 50 states of the United
States. Compliance requirements are not uniform and it takes a
considerable effort, much paperwork and many fees to meet and keep up
with these requirements. We do not solicit donations in locations
where we have not received written confirmation of compliance. To SEND
DONATIONS or determine the status of compliance for any particular
state visit www.gutenberg.org/donate
While we cannot and do not solicit contributions from states where we
have not met the solicitation requirements, we know of no prohibition
against accepting unsolicited donations from donors in such states who
approach us with offers to donate.
International donations are gratefully accepted, but we cannot make
any statements concerning tax treatment of donations received from
outside the United States. U.S. laws alone swamp our small staff.
Please check the Project Gutenberg Web pages for current donation
methods and addresses. Donations are accepted in a number of other
ways including checks, online payments and credit card donations. To
donate, please visit: www.gutenberg.org/donate
Section 5. General Information About Project Gutenberg-tm electronic works.
Professor Michael S. Hart was the originator of the Project
Gutenberg-tm concept of a library of electronic works that could be
freely shared with anyone. For forty years, he produced and
distributed Project Gutenberg-tm eBooks with only a loose network of
volunteer support.
Project Gutenberg-tm eBooks are often created from several printed
editions, all of which are confirmed as not protected by copyright in
the U.S. unless a copyright notice is included. Thus, we do not
necessarily keep eBooks in compliance with any particular paper
edition.
Most people start at our Web site which has the main PG search
facility: www.gutenberg.org
This Web site includes information about Project Gutenberg-tm,
including how to make donations to the Project Gutenberg Literary
Archive Foundation, how to help produce our new eBooks, and how to
subscribe to our email newsletter to hear about new eBooks.